來源:壹芯微 發布日期
2021-07-10 瀏覽:-4N60 TO252/TO220參數和中文資料 - 場效應MOS管 - 壹芯微
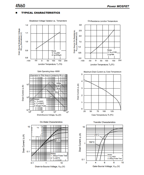
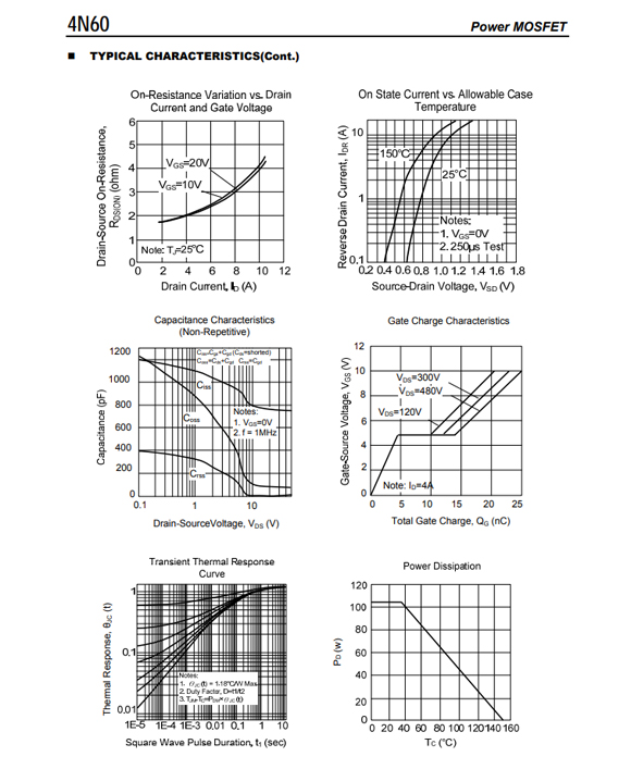
4N60(N溝道場效應MOS管)
品牌:壹芯微|類型:場效應管|封裝:TO-252/TO-220|參數達標 質量穩定 免費樣品 歡迎咨詢
| 參數\型號 | 4N60 | ||
| 極性 | N | ||
| ID(A) | 4 | ||
| VDSS(V) | 600 | ||
| RDS(ON):Max(Ω) | 2.5 | ||
| RDS(ON):VGS(Ω) | 10 | ||
| VGS(th):(V) | 2~4 | ||
| Gfs(min):(S) | 3.6 | ||
| Gfs(min):Vgs(V) | 40 | ||
| Gfs(min):Io(A) | 2.0 | ||
| 封裝 | TO-252/TO-220 |
4N60 是一個高壓功率 MOSFET,是旨在具有更好的特性,例如快速開關時間、低柵極電荷、低導通電阻和具有高崎嶇的雪崩特性。這種力量MOSFET 通常用于高速開關應用在電源、PWM 電機控制、高高效的直流到直流轉換器和橋式電路。



壹芯微——優質國產功率半導體品牌,主要生產各式二極管、三極管、Mos管、晶體管、橋堆等電子器件 產品均通過歐盟各大管理體系認證,高質量,高標準,型號齊全,研發技術與芯片源自臺灣,完美替代進口品牌,頁面右側可選擇銷售業務或工程師立即咨詢
工廠地址:安徽省六安市金寨產業園區
深圳辦事處地址:深圳市福田區寶華大廈A1428
中山辦事處地址:中山市古鎮長安燈飾配件城C棟11卡
杭州辦事處:杭州市西湖區文三西路118號杭州電子商務大廈6層B座
電話:13534146615
企業QQ:2881579535

深圳市壹芯微科技有限公司 版權所有 | 備案號:粵ICP備2020121154號