來源:壹芯微 發布日期
2021-04-20 瀏覽:-場效應管放大電路詳解
場效應管放大電路
直流偏置電路及靜態分析
一、直流偏置電路
由場效應管組成放大電路時,也要建立合適的靜態工作點Q,而且場效應管是電壓控制器件,因此需要有合適的柵-源偏置電壓。常用的直流偏置電路有兩種形式,即自偏壓電路和分壓式自偏壓電路。
1.自偏壓電路


(a) (b)
圖1
圖1(a)所示電路是一個自偏壓電路,其中場效應管的柵極通過電阻Rg接地,源極通過電阻R 接地。這種偏置方式靠漏極電流ID在源極電阻R上產生的電壓為柵-源極間提供一個偏置電壓VGS,故稱為自偏壓電路。靜態時,源極電位VS=IDR。由于柵極電流為零,Rg上沒有電壓降,柵極電位VG=0,所以柵源偏置電壓VGS= VG–VS= –IDR 。耗盡型MOS管也可采用這種形式的偏置電路。
圖1(b)所示電路是自偏壓電路的特例,其中VGS=0。顯然,這種偏置電路只適用于耗盡型MOS管,因為在柵源電壓大于零、等于零和小于零的一定范圍內,耗盡型MOS管均能正常工作。
增強型MOS管只有在柵-源電壓達到其開啟電壓VT時,才有漏極電流ID產生,因此這類管子不能用于圖1所示的自偏壓電路中。
2.分壓式偏置電路
圖2
二、靜態分析
對場效應管放大電路的靜態分析也可以采用圖解法或公式估算法,圖解法的步驟與雙極型三極管放大電路的圖解法相似。這里僅討論用公式估算法求靜態工作點。
工作在飽和區時,結型場效應管和耗盡型MOS管的漏極電流
,增強型MOS管的漏極電流
。
求靜態工作點時,對于圖1(a)所示電路,可求解方程組

得到ID和VGS。
管壓降
對于圖2所示電路,可求解方程組

得到ID和VGS。
管壓降 VDS=VDD–ID( Rd + R )
4.4.2 場效應管的小信號模型分析法
一、場效應管和小信號模型
場效應管也是非線性器件,在輸入信號電壓很小,且場效應管工作在放大區時,與三極管一樣,也可將其用小信號模型等效。

當場效應管工作在高頻小信號條件下時,其極間電容的影響不能忽略,這時場效應管要用右圖所示的高頻小信號模型等效。
二、共源放大電路及小信號模型分析法
與雙極型三極管放大電路相對應,場效應管放大電路也有三種基本組態,即共源極、共漏極和共柵極放大電路。用場效應管小信號模型分析其放大電路的步驟,與三極管小信號模型分析法的步驟相同。

共源極放大電路如圖1(a)所示,其中頻小信號等效電路由連續操作圖1中的第一個按鈕得到。
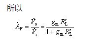
1.中頻電壓增益
場效應管的輸出電阻rd通常在幾百千歐數量級,比電阻Rd 、RL大得多,因此可將rd作開路處理,于是圖1(b)中

式中負號表示共源極放大電路的輸出電壓與輸入電壓相位相反,即共源極放大電路屬于反相電壓放大電路。
2.輸入電阻
由于場效應管柵極幾乎不取信號電流,柵-源極間的交流電阻可視為無窮大,因此,圖1所示共源極放大電路的輸入電阻為

3.輸出電阻
應用前面介紹過的求放大電路輸出電阻的方法,可求得圖1所示電路的輸出電阻為。
由上述分析可知,與共射極放大電路類似,共源極放大電路具有一定的電壓放大能力,且輸出電壓與輸入電壓反相,故被稱為反相電壓放大器。共源極放大電路的輸入電阻很高,輸出電阻主要由漏極電阻Rd決定。適用于作多級放大電路的輸入級或中間級。
三、共漏極放大電路
共漏極放大電路如圖1(a)所示,其中頻小信號等效電路如圖1(b)所示。由于輸出電壓從源極取出,故又稱其為源極輸出器。

1.中頻電壓增益
由圖1(b)可知


由此式可知,共漏極放大電路的中頻電壓增益 ,輸出電壓與輸入電壓相位相同。當 時, ,因此,共漏極放大電路又稱為源極電壓跟隨器。
2.輸入電阻Ri

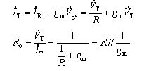
3.輸出電阻Ro
連續操作圖1(b)中的三角形按鈕,可以得到求共漏極放大電路輸出電阻的等效電路。
在此電路中,由于柵極電流 ,柵極回路的電阻上均無信號電壓,所以 ,于是有

即共漏極電路的輸出電阻Ro等于源極電阻R 和跨導的倒數
相并聯,所以,輸出電阻Ro較小。不過,由于一般情況下gm較小,因而使共漏電路的輸出電阻比共集電極電路的輸出電阻高。
由以上分析可知,與三極管共集電極放大電路類似,場效應管共漏極放大電路沒有電壓放大作用,其電壓增益小于1,輸出電壓與輸入電壓相位相同,輸入電阻高,輸出電阻低。可作阻抗變換用。
壹芯微科技針對二三極管,MOS管作出了良好的性能測試,應用各大領域,如果您有遇到什么需要幫助解決的,可以點擊右邊的工程師,或者點擊銷售經理給您精準的報價以及產品介紹
工廠地址:安徽省六安市金寨產業園區
深圳辦事處地址:深圳市福田區寶華大廈A1428
中山辦事處地址:中山市古鎮長安燈飾配件城C棟11卡
杭州辦事處:杭州市西湖區文三西路118號杭州電子商務大廈6層B座
電話:13534146615
企業QQ:2881579535

深圳市壹芯微科技有限公司 版權所有 | 備案號:粵ICP備2020121154號