來源:壹芯微 發布日期
2020-07-29 瀏覽:-電容與電感的性質是什么
我們每個人都有身份證,用身份證就能確認每個人的基本概況。元器件也是如此,元器件的身份證就是伏安特性曲線。
我們看下圖:

圖1:電阻的伏安特性曲線
從圖1的左圖中,我們電阻元件的測量電路,右圖則是電阻的伏安特性曲線。
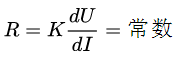
電阻的定義式是:
,式1
電阻的伏安特性曲線其實就是一條通過原點的直線,而電阻的阻值,就是伏安特性曲線的斜率。
我們看下圖:

圖2:電阻和電容的交流電壓電流波形圖圖2的左圖是電阻的電壓和電流波形圖。我們看到,交流波形圖中,電壓與電流的相位一致,峰值點出現的時間一致,過零點亦一致。
圖2的右圖是電容的電壓電流波形圖。
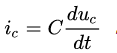
電容的定義式是:
,式2
我們把電壓
代入式2,求導后會出現余弦函數,由此可知電流超前電壓90度,見圖2右圖的電壓電流波形圖。
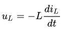
電感的定義式是:
,式3
我們看下圖:

圖3:電容和電感的電壓電流波形圖和功率波形圖區別
圖3的曲線一定要結合電容和電感的定義式毫不含糊地理解清楚。
以后我們走上工作崗位,如果不從事與電氣專業就算了,在電氣專業中必須對電阻、電容和電感的定義和特性有充分的理解。
壹芯微科技針對二三極管,MOS管作出了良好的性能測試,應用各大領域,如果您有遇到什么需要幫助解決的,可以點擊右邊的工程師,或者點擊銷售經理給您精準的報價以及產品介紹
工廠地址:安徽省六安市金寨產業園區
深圳辦事處地址:深圳市福田區寶華大廈A1428
中山辦事處地址:中山市古鎮長安燈飾配件城C棟11卡
杭州辦事處:杭州市西湖區文三西路118號杭州電子商務大廈6層B座
電話:13534146615
企業QQ:2881579535

深圳市壹芯微科技有限公司 版權所有 | 備案號:粵ICP備2020121154號