來源:壹芯微 發布日期
2020-08-01 瀏覽:-橋式整流電容濾波電容怎么選擇
電阻的第一個用途:將電流轉換成電壓。
我們來看下圖,此圖是電動機保護器中電流參量采集部分:

圖中用綠框框起來的部分中,我們看到了三個電流互感器,它們可以實現電流變換,也即把主回路的電流變換為標準的0~1A(或者0~5A)交流電流,再經過整流后,在可變電阻RP1上獲得電壓信號。
在這里,電阻RP1的任務就是將電流信號變換為電壓信號。
電阻的第二個用途:采集非電量參量
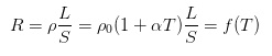
我們知道,電阻值與溫度之間存在一定的關系。看下式:

在這里,電阻值R與溫度T之間存在函數關系。于是,我們就可以用電阻來采集溫度。
采集溫度的電阻有兩種,一種叫做正溫度系數的熱敏電阻,另一種叫做負溫度系數的熱敏電阻。這兩種熱敏電阻的用途都很廣泛。
電阻還可以用來采集其它物理量,例如壓敏電阻和光敏電阻等等。
電阻的第三個用途:可作為元件的身份證
我們來看下圖:

此圖的縱坐標是電流I,橫坐標是電壓U。此圖又叫做電流-電壓特性曲線圖,更多的時候簡稱為伏安特性曲線。
根據歐姆定律,我們有:

這里的R稱為動態電阻,它其實就是曲線斜率的倒數。
當R大于零時,被稱為正阻特性,反之,當動態電阻R小于零時,被稱為負阻特性。
對于藍色的曲線,我們看出它是一條經過原點的直線,它的動態電阻阻值不隨著電壓和電流的變化而變化,滿足這種伏安特性曲線的元件被稱為線性元件;反之,對于紅色的曲線,我們看出它是一條曲線,它的動態電阻阻值隨著電壓和電流的變化而變化。滿足這種伏安特性曲線的元件被稱為非線性元件。
圖中藍色的伏安特性曲線對應于普通的電阻元件。
圖中紅色的伏安特性曲線在原點附近區域工作的對應元件被稱為整流二極管,它可以用于整流和檢波;
圖中紅色的伏安特性曲線在第三象限擊穿區域工作的對應元件被稱為穩壓二極管,它可以用于穩壓,還可以用于瀉放過電壓。用于瀉放過電壓的元件名稱當然不是穩壓二極管了,是什么就留給知友自己去判斷吧。
因為某種元件的伏安特性曲線與某種元件是唯一對應的,因此把伏安特性曲線又叫做元器件的身份證。在這里,動態電阻起到關鍵作用。
另外,當交流電流流過線性電阻時,系統不會出現什么問題;但是當交流電流流過非線性電阻時,系統就會出現諧波。這是區別線性電阻與非線性電阻的一個很重要的特征。
例如對電動機實現調速和控制的變頻器中的晶閘管,以及工業電阻爐控制用的調功器,它們都會產生大量的諧波。如何抑制和消除諧波,會有大量的應用和方法。
電阻的第四個用途,用于分析電壓和電流之間的關系,以便了解對應著的物理意義。
我們看下圖:

上圖是開關電器主觸頭弧隙電弧對應的伏安特性曲線,用于分析電弧的物理特點和滅弧方法;下圖是隧道二極管的伏安特性曲線,我們能看到明顯的隧道效應。
我們看下圖:

圖中的右側的T3就是隧道二極管,有的時候又把它稱為單結晶體管。利用隧道二極管的隧道效應,可以產生觸發晶閘管的觸發脈沖。
電阻的第五個用途:應用于我們的生活,應用于各種科學活動。
電阻的應用極廣,有些應用連想都想不到。
首先是電阻的發熱效應。例如電熱毯,用電阻的發熱效應來給提高我們的睡眠質量;還有電飯鍋、電炒鍋和電爐等等。
看看下圖:

圖中哪些家用電器與電阻發熱有關?
我們還可以利用電阻發熱后的發光效應,實現燈具照明,例如白熾燈。當然,現在白熾燈已經甚少使用了。
至于日光燈和熒光燈,則是利用輝光放電的原理。這屬于氣體擊穿特性的范疇,與電阻沒有直接關系。不過,從它們的伏安特性曲線中也能看到電阻的影子。
我們還可以改變玻璃表面透明導電膜電壓的方法,通過改變導電膜的電阻性溫度變化,實現玻璃變色。
我們還可以通過測量海水導電率的方法,來測量海水的鹽度。還可以通過測量大地的電阻率變化,來間接推測地下的地質結構等等。

總之,在電阻的應用和開發方面,還有許多未知空間在等待我們大家去努力,去開拓,去發展。
我們一起翹首以待吧。
壹芯微科技針對二三極管,MOS管作出了良好的性能測試,應用各大領域,如果您有遇到什么需要幫助解決的,可以點擊右邊的工程師,或者點擊銷售經理給您精準的報價以及產品介紹
工廠地址:安徽省六安市金寨產業園區
深圳辦事處地址:深圳市福田區寶華大廈A1428
中山辦事處地址:中山市古鎮長安燈飾配件城C棟11卡
杭州辦事處:杭州市西湖區文三西路118號杭州電子商務大廈6層B座
電話:13534146615
企業QQ:2881579535

深圳市壹芯微科技有限公司 版權所有 | 備案號:粵ICP備2020121154號