來源:壹芯微 發布日期
2020-10-08 瀏覽:-功率二極管的功耗計算過程分析


正向壓降功耗:
算法 1:P.f=V.f*I.o V.f:正向導通電壓 I.o:輸出電流

方法 2:
Vf=Vo+If*Rs
Pf=Vo*If+Rs*If^2

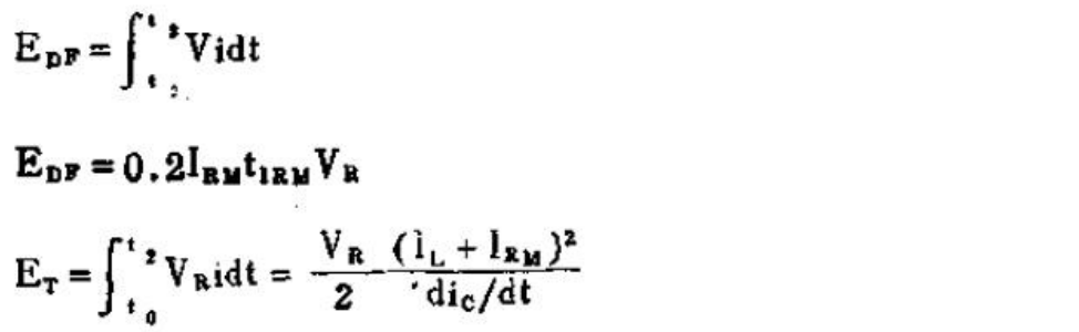
反向電流功耗:
這個值不太好估計,因為 Vr 也在變化,因此我建議以實測為主:

實測:

然后可測得電壓下降波形進行計算。
漏電流功耗:P.r=V.r*I.r V.r:反向電壓 I.r:反向電流

這是最開始的博文,有些不清楚的地方。
我看到一本書,《功率晶體管和開關二極管的應用技巧》
一本 80 年代末翻譯的書,里面很詳細的闡述了功率晶體管和開關二極管設計的過程。很嚴謹也很詳實,不是偶然間翻到,我們可能沒有可能去搞清楚這個過程了。
這一段是我整理在我寫的文章里面的,希望能把這個過程寫清楚:

二極管在較高頻率下應用的時候,需要注意二極管除了我們知道的正常的導通狀態和正常的截至狀態以外,在兩種狀態之間,轉換過程中還存在著開啟效應和關斷效應。二極管在開關的過程中其電流和電壓的變化過程如圖所示:
① 開啟效應:表征著二極管由截止過渡到導通的特性,從反向電壓 VR 正向導通,跳變至最高電壓 V?P,然后慢慢降低為二極管正向導通電壓 VF,達到穩定狀態的過程稱為二極管的正向恢復過程。這一過程所需要的時間稱為正向恢復時間。開啟過程的過程是對對反偏二極管的結電容充電,使二極管的電壓緩慢上升,因 PN 結耗盡區的工作機理,使電壓的上升比電流的上升要慢很多。
② 關斷效應:表征著二極管由導通過渡到截止的特性,從二極管正向導通電壓 VF,跳變至 負向最高電壓 VFF,然后反向截止達到穩定狀態 VR 的過程稱為二極管的反向恢復過程。這一過程所需要的時間稱為反向恢復時間。由于電荷存儲效應,二極管正向導通時,會存在非平衡少數載流子積累的現象。在關斷過程中存儲電荷消失之前,二極管仍維持正偏的狀態。為使其承受反向阻斷的能力,必需將這些少子電荷抽掉。反向恢復時間分為存儲時間 Ts 與下降時間 Tf,存儲時間時二極管處在抽走反向電荷的階段,在這段時間以后電壓達到反向最大值,二極管可開始反向阻斷,下降時間則是對二極管耗盡區結電容進行充電的過程,直到二極管完全承受外部所加的反向電壓,進入穩定的反向截止狀態。
二極管的暫態開關過程就是 PN 結電容的充、放電過程。二極管由截止過渡到導通時,相當于電容充電,二極管由導通過渡到截止時,相當于電容放電。二極管結電容越小,充、放電 時間越短,過渡過程越短,則二極管的暫態開關特性越好。
正向過程損耗:

這是一個估計的結果
反向過程損耗
計算方法也是估計的(這是續流電路的情況)

實際的功率二極管用在不同的地方,其結果也是并不相同的,按照書中整流和續流兩塊去分 析,我可能將之整理一下效果較好。感興趣的同志們可以去看看,挺詳細和詳實的一本書。
整個開關過程,實質上,就是認為對結電容進行操作。如果沒有電容,整個開關過程是非常理想的,也就等效成為一個理想的開關了。
補充(引用網上不明作者的圖和過程分析):
由于二極管外加正向電壓時,載流子不斷擴散而存儲的結果。當外加正向電壓時P區空穴向 N區擴散,N區電子向P區擴散,這樣,不僅使勢壘區(耗盡區)變窄,而且使載流子有相當數量的存儲,在P區內存儲了電子,而在N區內存儲了空穴,它們都是非平衡少數載流子, 如下圖所示。

空穴由P區擴散到N區后,并不是立即與N區中的電子復合而消失,而是在一定的路程 LP(擴散長度)內,一方面繼續擴散,一方面與電子復合消失,這樣就會在 LP 范圍內存儲一 定數量的空穴,并建立起一定空穴濃度分布,靠近結邊緣的濃度最大,離結越遠,濃度越小。正向電流越大,存儲的空穴數目越多,濃度分布的梯度也越大。我們把正向導通時,非平衡少數載流子積累的現象叫做電荷存儲效應。
當輸入電壓突然由+VF 變為-VR 時P區存儲的電子和N區存儲的空穴不會馬上消失,但它們將通過下列兩個途徑逐漸減少:
① 在反向電場作用下,P區電子被拉回N區,N區空穴被拉回P區,形成反向漂移電流 IR, 如下圖所示;
② 與多數載流子復合。

在這些存儲電荷消失之前,PN結仍處于正向偏置,即勢壘區仍然很窄,PN結的電阻仍很 小,與 RL 相比可以忽略,所以此時反向電流 IR= (VR+VD)/RL。VD 表示PN結兩端的正向壓降,一般 VR>>VD,即 IR=VR/RL。在這段期間,IR 基本上保持不變,主要由VR 和 RL 所決定。經過時間 ts 后P區和N區所存儲的電荷已顯著減小,勢壘區逐漸變寬,反向電流 IR 逐漸減小到正常反向飽和電流的數值,經過時間 tt,二極管轉為截止。由上可 知,二極管在開關轉換過程中出現的反向恢復過程,實質上由于電荷存儲效應引起的,反向恢復時間就是存儲電荷消失所需要的時間。
壹芯微科技針對二三極管,MOS管作出了良好的性能測試,應用各大領域,如果您有遇到什么需要幫助解決的,可以點擊右邊的工程師,或者點擊銷售經理給您精準的報價以及產品介紹
工廠地址:安徽省六安市金寨產業園區
深圳辦事處地址:深圳市福田區寶華大廈A1428
中山辦事處地址:中山市古鎮長安燈飾配件城C棟11卡
杭州辦事處:杭州市西湖區文三西路118號杭州電子商務大廈6層B座
電話:13534146615
企業QQ:2881579535

深圳市壹芯微科技有限公司 版權所有 | 備案號:粵ICP備2020121154號