來源:壹芯微 發布日期
2020-08-15 瀏覽:-共模電感(扼流圈)選型知識
1、共模電感原理
在介紹共模電感之前先介紹扼流圈,扼流圈是一種用來減弱電路里面高頻電流的低阻抗線圈。為了提高其電感扼流圈通常有一軟磁材料制的核心。共模扼流圈有多個同樣的線圈,電流在這些線圈里反向流,因此在扼流圈的芯里磁場抵消。共模扼流圈常被用來壓抑干擾輻射,因為這樣的干擾電流在不同的線圈里反向,提高系統的EMC。
共模信號和差模信號只是一個相對量,共模信號又稱共模噪聲或者稱對地噪聲,指兩根線分別對地的噪聲,對于開關電源(是一種高頻化電能轉換裝置,是電源供應器的一種。其功能是將一個位準的電壓,透過不同形式的架構轉換為用戶端所需求的電壓或電流。)的輸入濾波器而言,是零線和火線分別對大地的電信號。雖然零線和火線都沒有直接和大地相連,但是零線和火線可以分別通過電路板上的寄生電容或者雜散電容又或者寄生電感等來和大地相連。差模信號是指兩根線直接的信號差值也可以稱之為電視差。
假設有兩個信號V1、V2
共模信號就為(V1+V2)/2
差模信號就為:對于V1 (V1-V2)/2;對于V2 -(V1-V2)/2
共模信號特點:幅度相等、相位相同的信號。
差模信號特點:幅度相等、相位相反的信號。
2、差模噪聲和共模噪聲主要來源
對于開關電源而言,如果整流橋后的儲能濾波大電容為理想電容,即等效串聯電阻為零(忽略所有電容寄生參數),則輸入到電源的所有可能的差模噪聲源都會被該電容完全旁路或解耦,可是大容量電容的等效串聯電阻并非為零。因此,輸入電容的等效串聯電阻是從差模噪聲發生器看進去的阻抗Zdm的主要部分。輸入電容除了承受從電源線流入的工作電流外,還要提供開關管所需的高頻脈沖電流,但無論如何,電流流經電阻必然產生壓降,如電容的等效串聯電阻,所以輸入濾波電容兩端會出現高頻電壓紋波,高頻高壓紋波就是來自于差模電流。它基本上是一個電壓源(由等效串聯電阻導致的)。理論上,整流橋導通時,該高頻紋波噪聲應該僅出現在整流橋輸入側。事實上,整流橋關斷時,噪聲會通過整流橋二極管的寄生電容泄露。
高頻電流流入機殼有許多偶然的路徑。當開關電源中的主開關管的漏極高低跳變時,電流流經開關管與散熱器之間的寄生電容(散熱器連接至外殼或者散熱器就是外殼)。在交流電網電流保持整流橋導通時,注入機殼的噪聲遭遇幾乎相等的阻抗,因此等量流入零線和火線。因此,這是純共模噪聲。
3、共模電感如何抑制共模信號
目前已經知道共模信號是兩個幅度相等、相位相同的信號,共模信號一般來自電網,共模信號會影響電路板的正常工作,也會以電磁波的形式干擾周圍環境。
既然是用電感來抑制共模信號,那么這肯定和磁場相關。先來介紹通電螺線感,產生的磁場的方向(對于項目應用而言,有些場合比如抑制共模信號而言,不太需要定量的計算,電感產生的磁場以及磁通量的大小。
繞在磁芯上的線圈在匝數和電流不變時,磁芯中穿過的磁力線越多,那么磁通量就越大,則相對應的電感量也越大。電感天生的作用就是阻止流過其上電流的變化,其實質是阻止其磁通量的變化。這就是利用共模電感來抑制共模電流的基本原理。
如圖1所示為,共模電流在共模電感上產生的磁感應強度,電流I1產生的磁感應強度為B1,電流I2產生的磁感應強度為B2,兩條黃色箭頭分別表示電流I1和I2在鐵氧體中產生的磁力線,可以看出電流I1和I2產生的磁力線是相加的,故磁通也是相加的,那么電感量就是相加的,電感量越大,對電流的抑制能力就越強。

圖1共模電流在共模電感上的磁通分布
對于共模電感如何抑制共模電流用一句話可以解釋,即共模電感上流過共模電流時磁環中的磁通相互疊加,從而具有相當大的電感量,對共模電流起到抑制作用。
當兩個線圈流過差模電流時,鐵氧體磁環中的磁力線相反,導致磁通相互抵消,幾乎沒有電感量,所以差模信號可以基本無衰減的通過(考慮到電感本身具有一定的電阻)。所以不僅對于開關電源的輸入濾波器加共模電感,在走差分信號線時也可以加上共模電感來抑制共模電流,以防止電路誤觸發等現象。
4、共模電感選取
根據共模電感的額定電流、直流電阻以及額定頻率下阻抗值要求,可以按步驟進行設計:
1 根據阻抗值計算最小電感值
2 選擇共模電感磁芯材料以及磁芯尺寸
3 確定線圈匝數
4 選擇導線
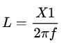
共模電感最小電感值計算公式:

Xl為頻率為f時的阻抗值
扼流圈電感值是用負載(單位:Ohms)除以信號開始衰減時的角頻率或以上頻率。例如,在50Ω的負載中,當頻率達到4000 Hz或以上時信號開始衰減,則需要使用1.99 mH(50/2π×4000))的電感。其相應的共模濾波器構造,如下圖6所示:

選擇所需濾波的頻段,共模阻抗越大越好,因此在選擇共模電感時需要看器件資料,主要根據阻抗頻率曲線選擇。
電感量計算出來后和普通設計電感一樣,在此就不詳細展開。
自己在繞制電感時要注意些事項,
1)繞制在線圈磁芯上的導線要相互絕緣,以保證在瞬時過電壓作用下線圈的匝間不發生擊穿短路。
2)當線圈流過瞬時大電流時,磁芯不要出現飽和。
3)線圈中的磁芯應與線圈絕緣,以防止在瞬時過電壓作用下兩者之間發生擊穿。
4)線圈應盡可能繞制單層,這樣做可減小線圈的寄生電容,增強線圈對瞬時過電壓的而授能力
共模電感磁芯的選取磁芯時,形狀尺寸、適用頻段、溫升以及價格都要考慮,常用的磁芯為U型、E型和環形。
相對而言,環形磁芯比較便宜,因為環形只有一個就可制作。而其他形狀的磁芯必須有一對才能為共模電感所用,且在成型時,考慮兩磁芯的配對問題,還須增加研磨工序才能得到較高的磁導率,對于環形磁芯卻不需如此;與其它形狀磁芯相比環形磁芯有較高的有效磁導率,因為兩配對磁芯在裝配時,無論怎樣作業都不可消除氣隙的現象,故有效磁導率比單一封閉形磁芯要低。但環形磁芯繞線成本較高,因其他形狀磁芯有一配套線架在使用,繞線可以機器作業,而環形磁芯只可以手工作業或機器(速度較低)作業;且磁環孔徑小,機器難以穿線,需要人工去繞,費時費力,加工成本高,效率低;安裝不便,若是加底座,則成本會上升。綜合性能比起來,磁環性能較好,價格也較高。因為成本的因素,磁環大多用在大功率的電源上。當然因為體積小,對體積有要求的小功率電源,可以采用磁環磁芯。對于主要作用是濾除低頻噪聲的共模電感,應當選用高磁導率的錳鋅鐵氧體磁芯;相反,應該選用適用于高頻的鎳鋅鐵氧體磁芯或磁粉芯磁芯。通常適用于高頻的磁芯,因其具有分布式氣隙,故磁導率相對較低,二者不可兼得。不過,與普通電感器不同的是,共模電感的作用是對噪聲信號形成較大的插入損耗,以減小噪聲干擾。錳鋅鐵氧體在高頻時,雖然其有效磁導率很小,但磁芯損耗隨頻率增加而增大,對高頻噪聲有較大的阻礙作用,所以也能減弱高頻干擾,只是效果相對較差。然而,較大的磁芯損耗會導致磁芯發熱,而損耗較小的磁芯價格也較高。
壹芯微科技針對二三極管,MOS管作出了良好的性能測試,應用各大領域,如果您有遇到什么需要幫助解決的,可以點擊右邊的工程師,或者點擊銷售經理給您精準的報價以及產品介紹
工廠地址:安徽省六安市金寨產業園區
深圳辦事處地址:深圳市福田區寶華大廈A1428
中山辦事處地址:中山市古鎮長安燈飾配件城C棟11卡
杭州辦事處:杭州市西湖區文三西路118號杭州電子商務大廈6層B座
電話:13534146615
企業QQ:2881579535

深圳市壹芯微科技有限公司 版權所有 | 備案號:粵ICP備2020121154號