來源:壹芯微 發布日期
2020-08-03 瀏覽:-關于等效電阻變換的一些妙用介紹
大概很多接受過高中教育的知友們知道等勢法化簡電路的方法,筆者自學過后,自己在某次簡單的物理考試上的空余時間隨便畫了一個電路想考自己化簡過后該電路的總電阻是多少,如圖所示:R1~R8=100Ω

然而這個圖等勢點已經畫的很好了,可是仍然較難辨別出局部電阻(事實上R2~R8的化簡依靠這種等勢法始終無能為力),當然通過計算每個支路的電流也可以暴力算出總電阻,但那樣就失去了等效電路圖的意義。觀察后發現,最重要的難點莫過于化簡R2,R3,R6(紅框處)這個局部電路:

經過一番查資料(wen'dalao)我得知了一種星三角變換(又稱Y-Δ變換)電路的方式:

原圖中,紅方框區相當于一個三角圖。
星三角變換的實質,就是已知三個點,它們之間有三條無向路徑,這些路徑總會有一個固定的總電阻值,經過星三角等效變換之后,這三條無向路徑的總電阻與原本的總電阻相等,那么從任意原點到任意匯點(終點)的電阻也便是相等的。
下面給出證明(圖片見上面那張):
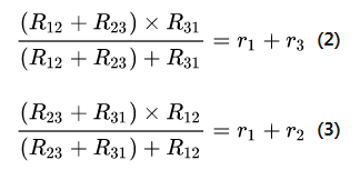
若假設要畫點2~點3路徑上的等效電路,那么有:

同理可得:

用(1)+(2)-(3)得:

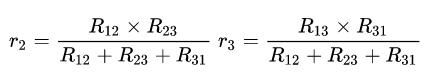
同理可得:

所以原電路可以化簡為:

其中
壹芯微科技針對二三極管,MOS管作出了良好的性能測試,應用各大領域,如果您有遇到什么需要幫助解決的,可以點擊右邊的工程師,或者點擊銷售經理給您精準的報價以及產品介紹
工廠地址:安徽省六安市金寨產業園區
深圳辦事處地址:深圳市福田區寶華大廈A1428
中山辦事處地址:中山市古鎮長安燈飾配件城C棟11卡
杭州辦事處:杭州市西湖區文三西路118號杭州電子商務大廈6層B座
電話:13534146615
企業QQ:2881579535

深圳市壹芯微科技有限公司 版權所有 | 備案號:粵ICP備2020121154號