來源:壹芯微 發布日期
2019-12-05 瀏覽:-MOS管電路周邊的的幾個電阻作用是什么

圖2-14電調A相的上臂和下臂
首先要明確一個概念,模擬電路不是軟件編程、非0即1,而是一個連續變化的過程。無論是電容上的電壓還是電感上的電流,都不能突變,否則將產生災難性的后果。上跳沿和下降沿并不是越陡峭越好,有時候在設計中甚至故意添加一些電阻讓上升下降沿變得平緩以保護元器件。當然,如果你能在確保安全的情況下,盡可能能地提高上升下降沿的頻率的話,你就是模電設計高手了。
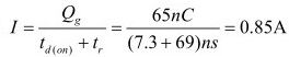
先來看R17,它有三個作用,其一是防止震蕩,其二是減小柵極充電峰值電流,其三是保護NA-場效應管的D-S極不被擊穿。先來看第一點,一般單片機的I/O輸出口都會帶點雜散電感,在電壓突變的情況下可能和柵極電容形成LC振蕩,當它們之間串上R17后,可增大阻尼而減小振蕩效果。第二,當柵極電壓拉高時,首先會對柵極電容充電,充電峰值電流可大致計算為:
, 可見已經超過了單片機的I/O輸出能力,串上R17后可放慢充電時間而減小柵極充電電流。第三,當柵極關斷時,NA-管的D-S極從導通狀態變為截止狀態時,漏源極電壓VDs會迅速增加,如果dVps /dt過大,就會擊穿器件,所以添加R17可以讓柵極電容慢慢放電,而不至于使器件擊穿,100 歐是比較通用的做法。
接下來看R16,其作用是下拉型抗干擾電阻。當單片機剛上電時,IO口一般都處于高阻態,如果沒有R18,柵極電壓就處于懸浮狀態,可能意外使場效應管導通,R16的選值范圍沒啥特別的講究,筆者曾經用1.8k 和180k都仿真過,看不出對輸出波形有明顯影響。
再接下來看R2,它的作用是上拉NA+場效應管的柵極,其阻值不能太小,太小會造成三極管導通時承受過大的電流;同樣,阻值也不能太大,太大會導致場效應管的柵極電壓上升緩慢,而影響開關性能。關于這點再多說兩句,如果阻值太大,這個時候的影響場效應管開關速度的瓶頸不在MOSFET的柵極電容上,而是在三級管的BC極電容.上!當STEUER_ A+從低電平變高電平后,VCC首先會通過R2給三級管的BC極電容充電,如果R2太大會導致充電速度緩慢,從而導致R2兩端電壓變化緩慢,進而影響場效應管的柵源極電壓上升速度。網友lijeamnd兄做了個很有意義的實驗:在三極管的BC極并了個鉗位二二極管,強制不給BC極電容充電,然后發現場效應管的上升下降沿都有明顯的改善。此君現在正在研究導航算法,在論壇諸位四軸達人中實力不俗。lieamnd 寫的關于調試無刷電機的兩篇心得帖子都很有分量,鏈接在附錄二中給出,大家有興趣的話可以去看一-看。
壹芯微科技針對二三極管,MOS管作出了良好的性能測試,應用各大領域,如果您有遇到什么需要幫助解決的,可以點擊右邊的工程師,或者點擊銷售經理給您精準的報價以及產品介紹
工廠地址:安徽省六安市金寨產業園區
深圳辦事處地址:深圳市福田區寶華大廈A1428
中山辦事處地址:中山市古鎮長安燈飾配件城C棟11卡
杭州辦事處:杭州市西湖區文三西路118號杭州電子商務大廈6層B座
電話:13534146615
企業QQ:2881579535

深圳市壹芯微科技有限公司 版權所有 | 備案號:粵ICP備2020121154號