來源:壹芯微 發布日期
2019-10-14 瀏覽:-三極管的三種放大電路
共基極放大電路
共基極的放大電路,如圖1所示,

圖1 共基極放大電路
主要應用在高頻放大或振蕩電路,其低輸入阻抗及高輸出阻抗的特性也可作阻抗匹配用。電路特性歸納如下:
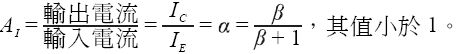
輸入端(EB之間)為正向偏壓,因此輸入阻抗低(約20~200 )
輸出端(CB之間)為反向偏壓,因此輸出阻抗高(約100k~1M )。

電流增益:

雖然AI小于1,但是RL / Ri很大,因此電壓增益相當高。
功率增益:

由于AI小于1,所以功率增益不大。
共發射極放大電路
共發射極的放大電路,如圖2所示。

圖2 共發射極放大電路
因具有電流與電壓放大增益,所以廣泛應用在放大器電路。其電路特性歸納如下:
輸入與輸出阻抗中等(Ri約1k~5k ;RO約50k)。
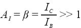
電流增益:

電壓增益:

負號表示輸出信號與輸入信號反相(相位差180°)。
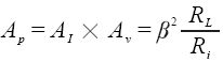
功率增益:

功率增益在三種接法中最大。
共集電極放大電路
共集電極放大電路,如圖3所示,

圖3 共集電極放大電路
高輸入阻抗及低輸出阻抗的特性可作阻抗匹配用,以改善電壓信號的負載效應。其電路特性歸納如下:
輸入阻抗高(Ri約20 k );輸出阻抗低(RO約20 )。
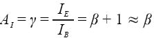
電流增益:

電壓增益:

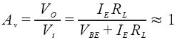
電壓增益等于1,表示射極的輸出信號追隨著基極的輸入信號,所以共集極放大器又稱為射極隨耦器(emitter follower)。功率增益Ap = AI × Av≈β ,功率增益低。
三極管三種放大電路特性比較
晶體管接法 電流增益 電壓增益 輸入阻抗 輸出阻抗 應用電路
共發射極 β》1 Aν>1
反相放大 中 中高 信號放大器
共基極 α≤1
最小 Aν>1
最大 最低 最高 高頻電路
高頻響應好
共集電極 γ>1
最大 Aν≤1
最小 最高 最低 阻抗匹配
射極跟隨器
共發射極放大電路偏壓

圖4 自給偏壓方式
又稱為基極偏壓電路,最簡單的偏壓電路,穩定性差,容易受β值的變動影響,溫度每升高10℃時,逆向飽和電流ICO增加一倍。溫度每升高1℃時,基射電壓VBE減少2.5mV ,β隨溫度升高而增加(影響最大) 。

圖5 帶電流反饋的基極偏壓方式
三極管發射極加上電流反饋電阻,特性有所改善,但還是不太穩定。

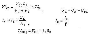
圖6 分壓式偏置電路
此為標準低頻信號放大原理圖電路,其R1(下拉電阻)及R2為三極管偏壓電阻,為三極管基極提供必要偏置電流,R3為負載電阻,R4為電流反饋電阻(改善特性),C3為旁路電容,C1及C3為三極管輸入及輸出隔直流電容(直流電受到阻礙),信號放大值則為R3/R4倍數.設計上注意: 三極管Ft值需高于信號放大值與工作頻率相乘積,選擇適當三極管集電極偏壓、以避免大信號上下頂部失真,注意C1及C3的容量大小對低頻信號(尤其是脈波)有影響.在R4并聯一個C2,放大倍數就會變大。而在交流時C2將R4短路。
為什么要接入R1及R4?
因為三極管是一種對溫度非常敏感的半導體器件,溫度變化將導致集電極電流的明顯改變。溫度升高,集電極電流增大;溫度降低,集電極電流減小。這將造成靜態工作點的移動,有可能使輸出信號產生失真。在實際電路中,要求流過R1和R2串聯支路的電流遠大于基極電流IB。這樣溫度變化引起的IB的變化,對基極電位就沒有多大的影響了,就可以用R1和R2的分壓來確定基極電位。采用分壓偏置以后,基極電位提高,為了保證發射結壓降正常,就要串入發射極電阻R4。
R4的串入有穩定工作點的作用。如果集電極電流隨溫度升高而增大,則發射極對地電位升高,因基極電位基本不變,故UBE減小。從輸入特性曲線可知,UBE的減小基極電流將隨之下降,根據三極管的電流控制原理,集電極電流將下降,反之亦然。這就在一定程度上穩定了工作點。分壓偏置基本放大電路具有穩定工作點的作用,這個電路具有工作點穩定的特性。當流過R1和R2串聯支路的電流遠大于基極電流IB(一般大于十倍以上)時,可以用下列方法計算工作點的參數值

壹芯微科技針對二三極管,MOS管作出了良好的性能測試,應用各大領域,如果您有遇到什么需要幫助解決的,可以點擊右邊的工程師,或者點擊銷售經理給您精準的報價以及產品介紹
工廠地址:安徽省六安市金寨產業園區
深圳辦事處地址:深圳市福田區寶華大廈A1428
中山辦事處地址:中山市古鎮長安燈飾配件城C棟11卡
杭州辦事處:杭州市西湖區文三西路118號杭州電子商務大廈6層B座
電話:13534146615
企業QQ:2881579535

深圳市壹芯微科技有限公司 版權所有 | 備案號:粵ICP備2020121154號