來源:壹芯微 發布日期
2021-03-05 瀏覽:-三極管放大電路動態知識
把圖所示的電路中的晶體管用共h參數等效模型取代便得到共集放大電路的交流等效電路,如下圖所示。
根據電壓放大倍數定義,可得

當 , , ,故稱共集放大電路為射極跟隨器。輸入與輸出電壓同相,且Uo<Ui,無電壓放大能力,但有電流放大。因為輸出電流為Ie,輸入電流為Ib,放大了 倍。
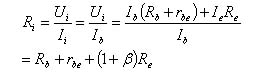
輸入電阻

可見,發射極電阻Re等效到基極回路時,將增大 倍,因此共集放大電路的輸入電阻比共射放大電路的輸入電阻大得多。
輸出電阻
為了計算輸出電阻Ro,令輸入信號為零,在輸出端加交流電壓 ,求出交流電流 ,則輸出電阻Ro=Uo/Io,如右圖所示。

可見,基極回路電阻Rb等效到射極回路時,應減小到原來的1/(1+β)。通常Rb取值較小,rbe也多在幾百歐到幾場千歐,所以Ro可小到幾十歐。
共集放大電路輸入電阻大、輸出電阻小,因而從信號源索取的電流小而且帶負載能力強,所以常用于多級放大電路的輸入級和輸出級;也可用它連接兩電路,減少電路間直接相連所帶來的影響,起緩沖作用。
壹芯微科技針對二三極管,MOS管作出了良好的性能測試,應用各大領域,如果您有遇到什么需要幫助解決的,可以點擊右邊的工程師,或者點擊銷售經理給您精準的報價以及產品介紹
工廠地址:安徽省六安市金寨產業園區
深圳辦事處地址:深圳市福田區寶華大廈A1428
中山辦事處地址:中山市古鎮長安燈飾配件城C棟11卡
杭州辦事處:杭州市西湖區文三西路118號杭州電子商務大廈6層B座
電話:13534146615
企業QQ:2881579535

深圳市壹芯微科技有限公司 版權所有 | 備案號:粵ICP備2020121154號