來源:壹芯微 發布日期
2021-03-01 瀏覽:-三極管基本共集放大電路介紹
一、電路組成
電路如圖(a)所示,集電極作為共公端,由于輸出電壓從發射極獲得,故也稱共集放大電路為射極輸出器。其直流通路和交流通路如圖(b)和(c)所示。

二、靜態分析
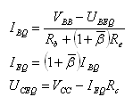
如圖(b)所示為直流通路,列出輸入回路的方程

便得到基極靜態電流IBQ、發射極靜態電流IEQ和管壓降UCEQ

壹芯微科技針對二三極管,MOS管作出了良好的性能測試,應用各大領域,如果您有遇到什么需要幫助解決的,可以點擊右邊的工程師,或者點擊銷售經理給您精準的報價以及產品介紹
工廠地址:安徽省六安市金寨產業園區
深圳辦事處地址:深圳市福田區寶華大廈A1428
中山辦事處地址:中山市古鎮長安燈飾配件城C棟11卡
杭州辦事處:杭州市西湖區文三西路118號杭州電子商務大廈6層B座
電話:13534146615
企業QQ:2881579535

深圳市壹芯微科技有限公司 版權所有 | 備案號:粵ICP備2020121154號