來源:壹芯微 發布日期
2020-08-17 瀏覽:-永磁同步電機交直軸電感工程測量方法知識
永磁同步電機的矢量控制主要依賴電機的電壓模型及其參數的準確性,而電機的交直軸電感由于磁飽和會隨電流而變化,為了精準地完成矢量控制,必須對電機的參數進行測量和標定。本文詳細介紹了兩種適合工程應用的電感測量方法原理、步驟及優缺點。直流暫態法原理簡單,操作容易,但必須知道準確的電機相對零位,并用外部夾具將電機轉子固定在相對零位,所以相對零位的精確度會直接影響該方法的準確性。交流穩態法的測量步驟相對繁瑣,需要一個三相星形連接的純阻型電阻箱,但是能測得對應不同交軸電流下(有最大值限制)的電感值,也不需要知道相對零位,從而可以彌補直流暫態法的不足。
交直軸電感測量方法在工程中的用途
永磁同步電機在純電動及混合動力車中廣泛應用于動力總成系統,因其功率密度大,寬調速范圍,控制較精準等優勢。實際工程應用中,我們往往使用一些高級的復雜算法去實現永磁同步機的精準控制,例如,單位電流最大扭矩控制(MTPA),無傳感器的算法。這些算法以電機的交直軸電壓模型或扭矩公式為基礎,而公式里涉及的電機參數有定子電阻、交直軸電感以及永磁體磁鏈。其中定子電阻及永磁體磁鏈較容易測量,而交直軸電感非直接測量可獲得,需要通過一些特定實驗經計算得到結果,比較復雜。雖然在學術界早有這方面的研究成果,但在工程領域需要操作性強、簡易、并較準確的方法。另外,考慮到目前很多國內的電機制造商未必能夠或愿意給出其電機的精準參數,所以我們覺得有必要向大家介紹適于工程應用的電感測量方法。
工程實例
通常,為了實現單位電流最大扭矩控制,我們需要使用電機臺架,去標定不同交直軸電流下的扭矩輸出。因為標定的工作點較多,而每個工作點標定完成后,需要暫停一小段時間等電機溫度回復常溫,再重復測試,整個過程漫長繁瑣。然而,如果我們能事先知道對應不同電流下的交直軸電感參數及永磁體磁鏈,那么可以事先算出對應最大扭矩的交直軸電流分配,之后再上臺架驗證或修正。則可以有效縮短臺架使用時間,以及相關工程費用。
下面將分別介紹兩種交直軸電感的檢測方法,優缺點及其適用場合
(1)直流暫態法
第一種測量方法較直接,根據加在電機三相上的直流電壓、及檢測到的暫態直流電流,計算出電機的電氣時間常數,從而計算出交直軸電感。使用這種方法必須知道電機的定子電阻及相對零位,并用外部夾具將電機轉子固定在相對零位,所以相對零位的精確度會直接影響該方法的準確性。另外,受機械固定方法的影響,交軸電感的檢測結果可能出現誤差。施加交軸電流時產生較大扭矩,使電機轉子受力要旋轉時,如果機械固定出現松動、摩擦,那么轉子就不在相對零位,所以檢測到的電流反饋也就不純是交軸分量,從而出現誤差。所以直流暫態法較適合小功率的電機,因為輸出扭矩較小,使得機械固定比較可靠。
假設電機定子電阻及相對零位已知,下面將詳細介紹直流暫態法的檢測步驟。
首先將轉子位置通過機械方法固定在相對零位,也就是轉子的磁鏈方向和A相重合。之后,通過逆變器對電機三相繞組分別施加電壓,A相經過PWM調制接Ud,B和C相接地,其等效電路如圖1所示。同時通過電流傳感器,用單片機的ADC單元記錄A相電流的暫態過程,采樣頻率越快越好,這樣能記錄較連續的電流曲線。此時所加的平均電壓可以等效為直軸電壓,而記錄下的A相電流就是直軸電流。由于電機的電感作用,電流是指數形的上升曲線,我們對采得的電流作曲線擬合,根據公式(1)算出時間常數,之后就能算出直軸電感。

圖1:等效電路圖

由于直軸電感值會隨電流幅值大小而變化,所以需要施加不同直流電壓,以獲得不同的直軸電流曲線。當測負電流時,B相和C相通過PWM調制接Ud,兩者調制的占空比一樣,而A相接地,根據電壓矢量的空間合成最終形成負的直軸電壓,并產生負的直軸電流。由于施加在電機上的電壓是通過逆變器PWM調制獲得,所以如果要獲得較精準的結果,還需要考慮開關的導通壓降及續流二極管的壓降。
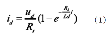
分析電流曲線時,一般根據最小二乘法原理作曲線擬合。這里推薦使用Matlab的曲線擬合工具cftool(),可以方便快捷地擬合曲線,并算出相應參數。圖2是分別施加了不同Ud后得到的直軸電流指數曲線,經Matlab擬合后得出結果。使用Matlab工具極大地縮短了數據分析過程,并提高了計算精準度,所以非常適合工程實際應用。

圖2:直軸暫態電流的曲線擬合 (a)施加直軸電壓為正,(b)施加直軸電壓為負
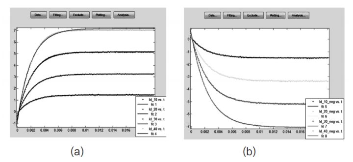
完成直軸電感的檢測后,我們可以進行交軸電感的檢測。同樣原理,也是在交軸上施加直流電壓,同時采集三相暫態電流來轉換成交軸電流,根據公式(2)進一步計算電感值。不過交軸電壓的合成較復雜,需要兩相電壓矢量合成。比如要產生正向的Uq,需要同時調制A、B兩相橋臂,B相電壓調制的占空比是A相的兩倍,C相接地;而要產生負向的Uq,需要同時調制A、C兩相橋臂,C相電壓調制的占空比是A相的兩倍,B相接地,具體矢量合成見圖3。


圖3:交軸電壓矢量合成圖 (a)施加交軸電壓為正,(b)施加交軸電壓為負
圖3 交軸電壓矢量合成圖:(a)施加交軸電壓為正;(b)施加交軸電壓為負
由于交軸電流會產生扭矩,電機轉子試圖轉動,所以用這種方法測交軸電感時,必須保證轉子的機械固定可靠。或者在采樣相電流時,同時記錄轉子位置,如果出現位置偏移,則不使用偏移開始的電流數據。圖4是使用Matlab工具進行電流曲線擬合,與直軸的電流波形相比,交軸波形不太平滑,這是因為它是由三相電流根據坐標轉換而來,而直軸電流就是A相電流,不需要做進一步處理。

圖4:交軸暫態電流的曲線擬合 (a)施加交軸電壓為正,(b)施加交軸電壓為負
(2)交流穩態法
由于直流暫態法的局限性,所以有必要介紹另一種方法——交流穩態法來彌補前者的不足。交流穩態法的核心思路是測量反電動勢與帶載后的相電壓之間的相位差,之后根據交直軸電壓公式,計算出對應不同電流下的電感值。該方法步驟相對繁瑣,另外需要一個三相星形連接的純阻型電阻箱,但是能測得對應不同電流下的電感值,另外也不需要精準的相對零位信息。下面將詳細介紹該方法的操作步驟。
由于反電動勢只能在電機作發電機(generator)運行且空載時測得,而不可能與帶載時的相電壓同時獲得,所以測量需要分兩步進行。
第一步,用一臺電機帶動被測電機穩定運行在某幾個速度下(如1000rpm、1500rpm、2000rpm),然后測取反電動勢與參考位置的相位差,以及反電動勢的幅值。由于被測電機內裝有旋變,所以我們可以將旋變信號經解碼芯片如AD2S1210解碼后輸出的模擬零位作為參考位置。具體接線圖及測得的波形如圖5(a)。由于被測電機的中心點未被引出,所以我們測量相間電壓,相間電壓與相電壓之間有30度的相位差,在后面的相位計算時必須考慮在內。通過實驗我們發現,只要電機運行在基速以下,反電動勢與參考位置的相位差恒定,反電動勢幅值與速度的比例系數恒定(由永磁體磁鏈決定),所以第一步驟只需測幾個速度點(基速以下),折算出相位差、反電動勢幅值與速度的比例常數即可。
第二步,將被測電機的三相端子連接純阻性的星形負載,并用另一個電機帶到一定速度,然后用示波器測量相電壓、相電流,以及參考位置。具體接線及測得的波形如圖5(b)所示。用示波器實時計算相電壓幅值、相電流幅值、及相電壓與參考位置間的相位差。然后在不同機械速度下,重復以上步驟。因為速度越高,產生的反電動勢越大,相同負載下相電流越大,所以能測得對應不同電流下的電感參數。

圖5:兩個步驟的接線圖 (a)測量反電動勢(空載),(b)測量帶載時相電壓、相電流
在測量過程中,有些工程細節問題需要仔細處理。比如選用適當帶寬的電壓電流探頭,使用前校準,尤其注意相位是否延遲或超前,必要時在數據處理階段作補償。選用采樣率高的示波器,能帶實時計算功能的最好。如果使用霍爾原理的電流傳感器,被測電機纜線的屏蔽層不能接地。作為負載的電阻要采用純阻性材料,避免使用會產生電感效應的螺旋狀管子,三相間的阻值差異最好控制在5%以內;電阻的阻值最好是可調,因為測小電流時需要用大阻值,而測大電流時需要用小電阻,務求在達到所需電流時,轉速不應太高,因為轉速高了線束及電阻的電感特性會表現明顯,以至于影響測試精度。帶載測試時注意電阻的散熱以避免溫漂,等等。這些因素都會影響實驗結果的準確度。
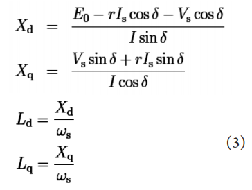
完成上述測量步驟獲得原始數據后,我們就可以計算交直軸電感了。電機作發電機運行時,其矢量圖如圖7所示,反電動勢方向與交軸(q軸)重合,其與相電壓的夾角可由兩次步驟中測得與相對零位的相位差相減獲得,不同電機速度下,其夾角不同。最終交直軸電感可根據公式(3)計算得到。

最終計算所得對應不同電流的交軸電感值導入Matlab環境,用曲線擬合工具進行分析。這樣處理的好處是可以剔除偶然測量誤差,如圖8中排除的紅色測量點。另外擬合出的曲線可以形成一致的電感關于電流的函數,一般三階函數就能滿足擬合要求,之后無論在仿真階段、還是在實際工程編程中可以方便地使用。
交流穩態法雖然能測得對應不同交軸電流下的電感值,但所測的交軸電流有最大值限制。當負載加大時,即便定子電流幅值增大,但功角δ已超過45度,所以直軸電流快速增大,而交軸電流則逐漸達到最大值,其數值如公式(4)所示,其中 [公式] 代表永磁體磁鏈。

另外,由于直軸電流的存在,交軸電感也受其影響,并沒有完全解耦交直軸,所以測得的交軸電感應該是對應交直軸電流平面上的某條曲線。這些是交流穩態法的局限性。
總結
本文詳細介紹了兩種適合工程應用的電感測量方法原理、步驟及優缺點。直流暫態法原理簡單,操作容易,但必須知道準確的電機相對零位,并用外部夾具將電機轉子固定在相對零位,所以相對零位的精確度會直接影響該方法的準確性。另外,受機械固定方法的影響,交軸電感的檢測結果可能出現誤差。所以直流暫態法較適合小功率的電機。交流穩態法的測量步驟相對繁瑣,需要一個三相星形連接的純阻型電阻箱,但是能測得對應不同交軸電流下(有最大值限制)的電感值,也不需要知道相對零位,從而可以彌補直流暫態法的不足。希望本文能起到拋磚引玉的效果,能在工程應用領域看到更多的電機電感測量方法的探討。
壹芯微科技針對二三極管,MOS管作出了良好的性能測試,應用各大領域,如果您有遇到什么需要幫助解決的,可以點擊右邊的工程師,或者點擊銷售經理給您精準的報價以及產品介紹
工廠地址:安徽省六安市金寨產業園區
深圳辦事處地址:深圳市福田區寶華大廈A1428
中山辦事處地址:中山市古鎮長安燈飾配件城C棟11卡
杭州辦事處:杭州市西湖區文三西路118號杭州電子商務大廈6層B座
電話:13534146615
企業QQ:2881579535

深圳市壹芯微科技有限公司 版權所有 | 備案號:粵ICP備2020121154號