來源:壹芯微 發布日期
2022-11-03 瀏覽:-大多數開關電源輸出都是直流電壓,因此,一般開關電源的輸出電路都帶有整流濾波電路。圖1-2是帶有整流濾波功能的串聯式開關電源工作原理圖。
圖1-2是在圖1-1-a電路的基礎上,增加了一個整流二極管和一個LC濾波電路。其中L是儲能濾波電容,它的作用是在控制開關K接通期間Ton限制大電流通過,防止輸入電壓Ui直接加到負載R上,對負載R進行電壓沖擊,同時對流過電感的電流iL轉化成磁能進行能量存儲,然后在控制開關K關斷期間Toff把磁能轉化成電流iL繼續向負載R提供能量輸出;C是儲能濾波電容,它的作用是在控制開關K接通期間Ton把流過儲能電感L的部分電流轉化成電荷進行存儲,然后在控制開關K關斷期間Toff把電荷轉化成電流繼續向負載R提供能量輸出;D是整流二極管,主要功能是續流作用,故稱它為續流二極管,其作用是在控制開關關斷期間Toff,給儲能濾波電感L釋放能量提供電流通路。
在控制開關關斷期間Toff,儲能電感L將產生反電動勢,流過儲能電感L的電流iL由反電動勢eL的正極流出,通過負載R,再經過續流二極管D的正極,然后從續流二極管D的負極流出,最后回到反電動勢eL的負極。
對于圖1-2,如果不看控制開關K和輸入電壓Ui,它是一個典型的反г型濾波電路,它的作用是把脈動直流電壓通過平滑濾波輸出其平均值。
圖1-3、圖1-4、圖1-5分別是控制開關K的占空比D等于0.5、0.5時,圖1-2電路中幾個關鍵點的電壓和電流波形。圖1-3-a)、圖1-4-a)、圖1-5-a)分別為控制開關K輸出電壓uo的波形;圖1-3-b)、圖1-4-b)、圖1-5-b)分別為儲能濾波電容兩端電壓uc的波形;圖1-3-c)、圖1-4-c)、圖1-5-c)分別為流過儲能電感L電流iL的波形。


在Ton期間,控制開關K接通,輸入電壓Ui通過控制開關K輸出電壓uo,然后加到儲能濾波電感L和儲能濾波電容C組成的濾波電路上,在此期間儲能濾波電感L兩端的電壓eL為:
eL=Ldi/dt=Ui–Uo——K接通期間(1-4)
式中:Ui輸入電壓,Uo為直流輸出電壓,即:電容兩端的電壓uc的平均值。
在此順便說明:由于電容兩端的電壓變化量ΔU相對于輸出電壓Uo來說非常小,為了簡單,我們這里把Uo當成常量來處理。在某種情況下,如需要對電容的初次充、放電過程進行分析時,必須需要建立微分方程,并求解。因為輸出電壓Uo的建立需要一定的時間,精確計算得出的結果中一般
都含有指數函數項,當令時間變量等于無窮大時,即電路進入穩態時,再對相關參量取平均值,其結果就基本與(1-4)相等。
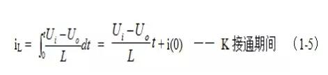
對(1-4)式進行積分得:
式中i(0)為控制開關K轉換瞬間(t=0時刻),即:控制開關K剛接通瞬間流過電感L的電流,或稱流過電感L的初始電流。
當控制開關K由接通期間Ton突然轉換到關斷期間Toff的瞬間,流過電感L的電流iL達到最大值:
iLm=(Ui-Uo)Ton/L+i(0)——K關斷前瞬間(1-6)
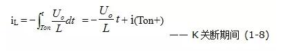
在Toff期間,控制開關K關斷,儲能電感L把磁能轉化成電流iL,通過整流二極管D繼續向負載R提供能量,在此期間儲能濾波電感L兩端的電壓eL為:
eL=Ldi/dt=–Uo——K關斷期間(1-7)
式中–Uo前的負號,表示K關斷期間電感產生電動勢的方向與K接通期間電感產生電動勢的方向正好相反。對(1-7)式進行積分得:
式中i(Ton+)為控制開關K從Ton轉換到Toff的瞬間之前流過電感的電流,i(Ton+)也可以寫為i(Toff-),即:控制開關K關斷或接通瞬間,之前和之后流過電感L的電流相等。實際上(1-8)式中的i(Ton+)就是(1-6)式中的iLm,即:
上面計算都是假設輸出電壓Uo基本不變的情況得到的結果,在實際應用電路中也正好是這樣,輸出電壓Uo的電壓紋波非常小,只有輸出電壓的百分之幾,工程計算中完全可以忽略不計。
從(1-4)式到(1-11)和圖1-3、圖1-4、圖1-5中可以看出:
當開關電源工作于臨界連續電流或連續電流狀態時,在K接通和關斷的整個周期內,儲能電感L都有電流流出,但在K接通期間與K關斷期間,流過儲能電感L的電流的上升率(絕對值)一般是不一樣的。在K接通期間,流過儲能電感L的電流上升率為Ui-Uo/L:;在K關斷期間,流過儲能電感L的電流上升率為:-Uo/L
因此:
(1)當Ui=2Uo時,即濾波輸出電壓Uo等于電源輸入電壓Ui的一半時,或控制開關K的占空比D為二分之一時,流過儲能電感L的電流上升率,在K接通期間與K關斷期間絕對值完全相等,即電感存儲能量的速度與釋放能量的速度完全相等。此時,(1-5)式中i(0)和(1-11)式中iLX均等于0。在這種情況下,流過儲能電感L的電流iL為臨界連續電流,且濾波輸出電壓Uo等于濾波輸入電壓uo的平均值Ua。參看圖1-3。
(2)當Ui>2Uo時,即:濾波輸出電壓Uo小于電源輸入電壓Ui的一半時,或控制開關K的占空比小于二分之一時:雖然在K接通期間,流過儲能電感L的電流上升率(絕對值),大于,在K關斷期間,流過儲能電感L的電流上升率(絕對值);但由于(1-5)式中i(0)等于0,以及Ton小于Toff,此時,(1-11)式中的iLX會出現負值,即輸出電壓反過來要對電感充電,但由于整流二極管D的存在,這是不可能的,這表示流過儲能電感L的電流提前過0,即有斷流。在這種情況下,流過儲能電感L的電流iL不是連續電流,開關電源工作于電流不連續狀態,因此,輸出電壓Uo的紋波比較大,且濾波輸出電壓Uo小于濾波輸入電壓uo的平均值Ua。參看圖1-4。
(3)當Ui<2Uo時,即:濾波輸出電壓Uo大于電源輸入電壓Ui的一半時,或控制開關K的占空比大于二分之一時:在K接通期間,雖然流過儲能電感L的電流上升率(絕對值),小于,在K關斷期間,流過儲能電感L的電流上升率(絕對值)。但由于Ton大于Toff,(1-5)式中i(0)和(1-11)式中iLX均大于0,即:電感存儲能量每次均釋放不完。在這種情況下,流過儲能電感L的電流iL是連續電流,開關電源工作于連續電流狀態,輸出電壓Uo的紋波比較小,且濾波輸出電壓Uo大于濾波輸入電壓uo的平均值Ua。參看圖1-5。
壹芯微科技專注于“二,三極管、MOS(場效應管)、橋堆”研發、生產與銷售,20年行業經驗,擁有先進全自動化雙軌封裝生產線、高速檢測設備等,研發技術、芯片源自臺灣,專業生產流程管理及工程團隊,保障所生產每一批物料質量穩定和更長久的使用壽命,實現高度自動化生產,大幅降低人工成本,促進更好的性價比優勢!選擇壹芯微,還可為客戶提供參數選型替代,送樣測試,技術支持,售后服務等,如需了解更多詳情或最新報價,歡迎咨詢官網在線客服!
手機號/微信:13534146615
QQ:2881579535
工廠地址:安徽省六安市金寨產業園區
深圳辦事處地址:深圳市福田區寶華大廈A1428
中山辦事處地址:中山市古鎮長安燈飾配件城C棟11卡
杭州辦事處:杭州市西湖區文三西路118號杭州電子商務大廈6層B座
電話:13534146615
企業QQ:2881579535

深圳市壹芯微科技有限公司 版權所有 | 備案號:粵ICP備2020121154號