來源:壹芯微 發布日期
2022-01-18 瀏覽:-電感怎么進行測量
電感的主要特性是貯存磁場能。但由于它一般是用金屬導線繞制而成的,所以有繞線電阻(對于磁芯電感還應包括磁性材料插入的損耗電阻)和線圈匝與匝之間的分布電容。采用一些特殊的制作工藝,可減小分布電容,工作頻率也較低時,分布電容可忽略不計。因此,電感的測量主要包括電感量和損耗(通常用品質因數Q表示)兩部分內容。
1.諧振法測量電感

圖1諧振法測量電感
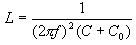
如圖1所示為并聯諧振法測電感的電路,其中C為標準電感,L為被測電感,Co為被測電感的分布電容。測量時,調節信號源頻率,使電路諧振,即電壓表指示最大,記下此時的信號源頻率f,則:

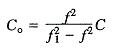
由此可見,還需要測出分布容Co,測量電路如圖1所示,只是不接標準容。調信號源頻率,使電路自然諧振。設此頻率為f1,則:

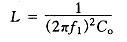
由上兩式可得:

將Co代入L的表達式,即可得到被測電感的感量。
2.交流電橋法測量電感
測量電感的交流電橋如圖2(a)和(b)所示的馬氏電橋和海氏電橋兩種電橋,分別適用于測量品質因數不同的電感。

圖2交流電橋法測量電感
如圖2(a)所示的馬氏電橋適用于測量Q<10的電感,圖中Lx為被測電感,Rx為被測電感損耗電阻,馬氏電橋由電橋平衡條可得:

一般在馬氏電橋中,R3用開關換接作為量程選擇,R2和Rn為可調元件,由R2的刻度可直讀Lx,由Rn的刻度可直讀Q值。圖2(b)所示的海氏電橋適用于測量Q>10的電感,測量方法和結論與馬氏電橋相同。
〔壹芯微〕專業研發生產二極管,三極管,MOS管,橋堆,專注領域,專業品質,研發技術-芯片源自中國臺灣,擁有全工序封裝生產線,配備高標準可靠性實驗室,引入國外先進測試儀器,檢測設備,以及專業團隊豐富的生產經驗,保障每個器件的參數和性能的充分穩定性,同時實現了高度全自動化生產,大幅度降低人工成本,并與中國臺灣芯片制造商達成合作,產品低于同行10%,壹芯微還提供有選型替代,技術支持,售后FAE,歡迎點擊頁面右側"在線客服" 咨詢了解產品詳情和最新報價,提供免費樣品送予測試
手機號/微信:13534146615
QQ:2881579535
工廠地址:安徽省六安市金寨產業園區
深圳辦事處地址:深圳市福田區寶華大廈A1428
中山辦事處地址:中山市古鎮長安燈飾配件城C棟11卡
杭州辦事處:杭州市西湖區文三西路118號杭州電子商務大廈6層B座
電話:13534146615
企業QQ:2881579535

深圳市壹芯微科技有限公司 版權所有 | 備案號:粵ICP備2020121154號