來源:壹芯微 發布日期
2023-03-03 瀏覽:-一. 電容作用:電容在模擬信號電路中也同樣存在阻力,這種阻力叫做容抗(Xc),值的大小Xc=1/(2πfc),它的大小跟電容值和頻率成反比,用在模擬電路中,主要耦合信號,平滑電平,微分. 積分. 移相.啟動等,用在直流供電電路中主要是濾波. 旁路. 儲能. 振蕩等。
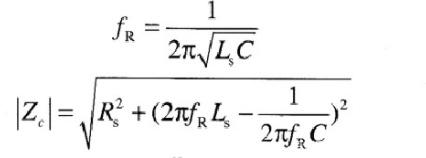
二. 電容的諧振頻率(FR)和容抗(Zc):當線路中的頻率很高時,電容不僅是電容性質,還存在等效串聯電感(ESL)和等效串聯電阻(ESR)。
諧振頻率和容抗計算公式
電容工作在諧振頻率以上呈感性,在諧振頻率以下呈容性,在諧振頻率時容抗最低,所以在設計時就要針對電路性質選擇諧振頻率與電路相近的電容,在一些頻率變化大的電路中,通常選擇諧振頻率低的大電容和諧振頻率高的小電容混合使用。
三. 電容在耦合電路中作用:
電容耦合電路
電路中C1是輸入耦合,C2是輸出耦合,耦合電容的大小及諧振頻率根據電路的信號頻率來選擇,如高頻0.001-0.1UF,音頻1-22UF,當然這只是一參考值,主要根據實際調試效果來選擇合適的電容值。
三. 電容在開關電源電路中的作用和選型:
開關電源電路
圖中C1是大容量高耐壓電解電容如(100UF/400V),由于這個位置工作頻率低(50/60HZ),電容的作用是為了獲得一個相對平滑電壓,所以對電容的要求能滿足耐壓.
溫度和容量足夠大就可以了,而圖中C52.
C54就要求更嚴格了,由于開關電源(也包括DC/DC電源)大多工作頻率在100KHZ-500KHZ的方波或矩形波狀態,其中含有大量的高次諧波(頻率從幾百K到數十MHZ),一般電容在這種情況下失去了吸收高次諧波的能力而呈感性,在選擇時一定要考慮電容的頻率特性要求低ESR和低ESL。
五. 電容在RC無源濾波電路中的應用:
RC濾波電路
在低通濾波電路中的作用是將高頻濾掉讓低頻信號加在負載端,根據容抗Xc=1/(2πfc),頻率越高阻值越小將高頻信號濾掉。 而在高通濾波電路中電容相當高頻耦合電容,頻率越高阻值越小。 不讓低頻信號通過讓高頻信號加在負載端。
六. 電容在RC串聯濾波電路的應用:
RC串聯電路
在RC串聯電路中總阻抗Z=R+Xc(=1/(2πfc),Z(總阻抗)的大小跟頻率和電容值有關,在高頻RC電路中有一個轉折頻率F0=1/(2πRC),當信號頻率大于轉折頻率時,容抗值就基本為0了,電路總阻抗是一個穩定值R,即Z=R,當信號頻率低于轉折頻率時總阻抗(Z=R+Xc)是隨頻率變化的。
七. 電容在RC并聯濾波電路的應用:
RC并聯濾波電路
在RC并聯電路中總阻抗1/Z=1/R+1/Xc,Z(總阻抗)的大小跟頻率和電容值有關,在RC并聯濾波電路中也有一個轉折頻率F0=1/(2πRC),當信號最低頻率大于轉折頻率時,容抗值就基本為0了,電容相當短路,當信號頻率遠遠低于轉折頻率時電容可以忽略,總阻抗Z=R,當信號頻率從稍低于轉折頻率逐漸向遠遠低于轉折頻率過渡,這時的總阻抗 (1/Z=1/R+1/Xc)也是逐漸變化的。
八. 電容的并聯和串聯:
電容串聯:1/C總=1/C1+1/C2+1/C....,電容并聯:C總=C1+C2+C3.....
壹芯微科技專注于“二,三極管、MOS(場效應管)、橋堆”研發、生產與銷售,20年行業經驗,擁有先進全自動化雙軌封裝生產線、高速檢測設備等,研發技術、芯片源自臺灣,專業生產流程管理及工程團隊,保障所生產每一批物料質量穩定和更長久的使用壽命,實現高度自動化生產,大幅降低人工成本,促進更好的性價比優勢!選擇壹芯微,還可為客戶提供參數選型替代,送樣測試,技術支持,售后服務等,如需了解更多詳情或最新報價,歡迎咨詢官網在線客服!
手機號/微信:13534146615
QQ:2881579535
工廠地址:安徽省六安市金寨產業園區
深圳辦事處地址:深圳市福田區寶華大廈A1428
中山辦事處地址:中山市古鎮長安燈飾配件城C棟11卡
杭州辦事處:杭州市西湖區文三西路118號杭州電子商務大廈6層B座
電話:13534146615
企業QQ:2881579535

深圳市壹芯微科技有限公司 版權所有 | 備案號:粵ICP備2020121154號