來源:壹芯微 發布日期
2022-09-08 瀏覽:-承前:從去耦半徑出發,通過去耦半徑的計算,讓大家直觀的看到我們常見的電容的“有效范圍”問題。
本節:討論濾波電容的位置與PDN阻抗的關系,提出“全局電容”與“局部電容”的概念。能看到當電容呈現“全局特性”的時候,電容的位置其實沒有想象中那么重要。
啟后:多層板設計的時候,電容傾向于呈現“全局特性”,“電源加磁珠”的設計方法,會影響電容在全局范圍內起作用。同時電源種類太多,還會帶來其他設計問題。
通過上一篇文章,我們知道平常“耳熟能詳”的電容去耦半徑理論,對PCB設計其實沒有什么指導意義。0.1uf的電容去耦半徑足夠大,設計中參考這個值沒有用處,工程師還是會“盡量”把0.1uf電容靠近芯片的電源管教放置。PCB設計師需要更有效的理論來指導電容的布局設計。
簡單的用四分之一波長理論推算的電容去耦半徑不起作用,那么電容放置得離芯片電源管腳比較遠,影響安裝電感。
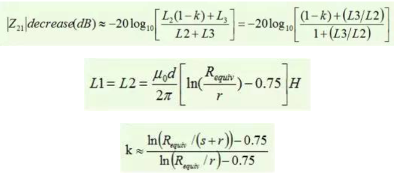
在上一個專題的第四篇文章里面,已經討論過電容安裝電感的估算。這一次,我們來更詳細的看看安裝電感。從圖1能看到,安裝電感可以簡單分為L above和 L below。
圖1
在這里引入兩個概念:Labove 、Lbelow (電容和IC下面的電流回路大小不一定一樣,但在這里分析的時候,假定大小等同)
總電感:LTotal= 2Labove+Lbelow
Labove包括電容的ESL和Fan out帶來的電感,我們會另外專題討論電容的Fan out問題。至于L below就更多收到電容位置的影響。簡單來說,電容離芯片電源管腳越遠,L below圍成的面積就越大,相應的安裝電感就越大。
更具體點,Lbelow主要是兩個過孔的自感和互感,當電容的位置離IC器件更近時,如圖2所示,Lbelow的互感增大,因互感的作用與自感的作用相反,導致其整體電感減小,充放電速率更快

圖2
可以列出一堆公式來推導這個互感乃至L below。


其實從圖1可以簡單看出,G和P之間的距離對L below影響很大,G和P之間的距離越近,L below對應的陰影區域面積就越小。而L below越小,也就意味這電容可以放得越遠,換句話說,電容的有效濾波范圍更大。電容也就更加傾向于呈現“全局”特性。
下一節我們還會通過一個直觀的仿真,讓大家看到平面距離與安裝電感的關系,以及為什么說在新的設計條件下,電容會呈現全局特性。
圖3是一個簡單的總結,更具體的分析,請聽下回分解。
圖3
壹芯微科技專注于“二,三極管、MOS(場效應管)、橋堆”研發、生產與銷售,20年行業經驗,擁有先進全自動化雙軌封裝生產線、高速檢測設備等,研發技術、芯片源自臺灣,專業生產流程管理及工程團隊,保障所生產每一批物料質量穩定和更長久的使用壽命,實現高度自動化生產,大幅降低人工成本,促進更好的性價比優勢!選擇壹芯微,還可為客戶提供參數選型替代,送樣測試,技術支持,售后服務等,如需了解更多詳情或最新報價,歡迎咨詢官網在線客服!
手機號/微信:13534146615
QQ:2881579535
工廠地址:安徽省六安市金寨產業園區
深圳辦事處地址:深圳市福田區寶華大廈A1428
中山辦事處地址:中山市古鎮長安燈飾配件城C棟11卡
杭州辦事處:杭州市西湖區文三西路118號杭州電子商務大廈6層B座
電話:13534146615
企業QQ:2881579535

深圳市壹芯微科技有限公司 版權所有 | 備案號:粵ICP備2020121154號