來源:壹芯微 發布日期
2023-02-21 瀏覽:-共集放大電路(射極跟隨器)的基礎知識
共集放大電路,也叫射極跟隨器(Emitter Follower),通常用于連接兩個電路,起到緩沖器的作用,也叫Buffer。字面意思理解,本來兩個電路正常連接的話不匹配,中間加了一個Buffer,兩個電路更匹配了,性能更好了。那么這個Buffer要具備什么樣的特點呢?
不影響信號的幅值和帶寬;輸入阻抗極大,使得前級電路容易驅動;輸出阻抗極小,更容易驅動后級電路。下面就從這三個方面介紹射極跟隨器,也就是這個Buffer。
1、射隨器的放大倍數和帶寬
建立如下仿真原理圖,共集放大電路的特點是輸入端是基極,輸出端是發射極,設置好偏置電壓保證三極管工作在放大區。
仿真結果如下,從仿真波形可以看出輸出電壓擺幅與輸入端擺幅相同,說明放大倍數為1,輸出端波形為輸入波形整理下降約0.7V,為三極管BE之間的管壓降。
為了和共射放大電路的帶寬做比較,還是利用之前的仿真原理圖,只不過把輸入波形變成方波,因為方波含有豐富的高頻分量,同時在三極管的集電極加上電壓探頭。原理圖和仿真結果如下:


從圖中可以看出發射極輸出的電壓波形與輸出幾乎一樣,沒有高頻損失,但是集電極輸出的電壓波形壓擺率明顯降低,高頻損失嚴重。說明射隨電路具有極高的帶寬,共射電路帶寬特性卻比較差。
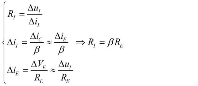
2、射隨器的輸入阻抗
輸入阻抗的計算可以查看我往期的文章,哪里有詳細的介紹,這里把公式列在上面,推導很簡單,因為beta是一個非常大的值,通常為100-200,所以輸入阻抗非常大。
3、射隨器的輸出阻抗
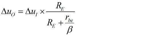
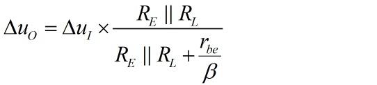
輸出阻抗的計算往期也有介紹,這里介紹另一種方法。
①、計算空載時輸出電壓的表達式:
②、計算帶負載時輸出電壓的表達式:
③、令帶負載時輸出電壓為空載時輸出電壓的一半,此時負載阻抗就和輸出阻抗相等,從而得到輸出阻抗。這里假設rbe=1kohm,Re=1kohm,beta=100,可以求出Ro約為10ohm,這是一個非常小的值。
4、小結
射極跟隨器在電路中通常作為Buffer來使用,一般不會單獨使用,通常和共射放大電路一起配合來完成功率放大的功能。
共射放大電路放大電路的特點是放大倍數高,但是輸出阻抗太大,不能帶動很重的負載,射極跟隨器的特點是不能放大電路,但是輸入阻抗高,輸出阻抗低,具有很高的帶寬,可以帶動很重的負載。所以共射放大器和射極跟隨器配合使用可以得到一個效果更好的放大電路。
壹芯微科技專注于“二,三極管、MOS(場效應管)、橋堆”研發、生產與銷售,20年行業經驗,擁有先進全自動化雙軌封裝生產線、高速檢測設備等,研發技術、芯片源自臺灣,專業生產流程管理及工程團隊,保障所生產每一批物料質量穩定和更長久的使用壽命,實現高度自動化生產,大幅降低人工成本,促進更好的性價比優勢!選擇壹芯微,還可為客戶提供參數選型替代,送樣測試,技術支持,售后服務等,如需了解更多詳情或最新報價,歡迎咨詢官網在線客服!
手機號/微信:13534146615
QQ:2881579535
工廠地址:安徽省六安市金寨產業園區
深圳辦事處地址:深圳市福田區寶華大廈A1428
中山辦事處地址:中山市古鎮長安燈飾配件城C棟11卡
杭州辦事處:杭州市西湖區文三西路118號杭州電子商務大廈6層B座
電話:13534146615
企業QQ:2881579535

深圳市壹芯微科技有限公司 版權所有 | 備案號:粵ICP備2020121154號