來源:壹芯微 發布日期
2022-03-01 瀏覽:-基于AD603的超聲探傷儀信號放大電路設計介紹|壹芯微
超聲探傷儀已經在機械零件內部缺陷的檢測領域發揮巨大作用。其原理是電壓激勵超聲換能器向零件中發射超聲波,被缺陷反射的超聲波回到換能器,轉化成電壓,該電壓經信號放大電路放大后顯示出來,從而傳遞出零件內部缺陷的信息。由于缺陷反射波電壓從幾毫伏至幾百毫伏不等,故信號放大電路必須有按需調整放大倍數的能力。根據《A型脈沖反射式超聲探傷儀通用技術條件(JB/T10061—1999)》,超聲探傷儀的增益調整范圍至少達到60dB。因此本文設計一種以集成運算放大器AD603為核心,輔以高速運算放大器AD8041的超聲探傷儀信號放大電路。
1.電路設計
1.1電路整體結構
信號放大電路整體結構如圖1所示,由兩片AD603級聯,每片之前采用AD8041構成的反相比例放大器進行阻抗匹配。

圖1信號放大電路整體結構
AD603采用并聯控制方式,即兩片的控制電壓始終保持一致,故總體增益是單片AD603增益的兩倍。圖中,“恒定參考電壓”由電壓基準芯片產生,“DA模擬控制電壓”是由數模轉換芯片產生的可控直流電壓。AD8041有一個芯片使能引腳,使用一個片選信號進行控制,可以決定芯片是否工作。這一功能在多通道信號放大電路輪流工作時將發揮作用。
1.2增益控制原理
AD603是一種集成運算放大器,圖2為其內部結構簡圖。3號引腳VINP為信號輸入端,7號引腳VOUT為信號輸出端。通過改變1號引腳GPOS和2號引腳GNEG之間的電壓差,可以控制接入電路的梯形網絡范圍,從而控制芯片增益。具體設計中,“恒定參考電壓”供給2號引腳GNEG,“DA模擬控制電壓”供給1號引腳GPOS。設計采用5、7號引腳直接短接的方式,獲得單片AD603增益調整范圍一1ldB至+31dB,共計42dB。因此,放大電路整體的增益調整范圍為84dB。

圖2AD603內部結構簡圖
增益計算公式是:
Gain(dB)=40VG(dB/V)+10(dB)
其中,VG為引腳GPOS和GNEG之間的電壓差(單位V)。由于GNEG等于“恒定參考電壓”,保持不變,故調整“DA模擬控制電壓”,就可以改變VG,從而控制增益。
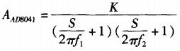
1.3AD8041阻抗匹配
根據AD603數據手冊,必須在負載電阻大于500Ω時,AD603輸出電壓才能達到峰值±3V;其輸入電阻典型值為100Ω。因此,如果兩片AD603直接級聯,會由于后級的輸入阻抗過小而造成前級的增益低于預期。另外,如果反射波電壓信號直接輸入AD603,也會由于輸入阻抗過小而造成信號失真。
為解決這一問題,設計采用高速運算放大器AD8041搭建反相比例放大電路(如圖3所示)起到阻抗匹配的作用。

圖3AD8041反比例放大電路
反相比例放大電路輸入電阻公式為:

其中,Ri為運放的開環輸入電阻,根據AD8041數據手冊,Ri=160kΩ;A0為其開環放大系數,在超聲波頻率(2.5MHz)時A0=35dB,即56.23倍(根據AD8041開環頻響曲線確定,如圖4所示);F0為負反饋系數,數值上等于R1與R3,電阻值之比,實驗中取0.05。帶入計算得,Rin=41.98kΩ>500Ω。因此,AD8041可以提供足夠的輸入電阻。

圖4AD8041開環頻響曲線
另外,根據AD8041數據手冊,負載電阻50Ω時,輸出電壓可以達到4.5V,接近飽和。因此,AD8041可以驅動AD603。
2.自激振蕩及其消除
2.1自激振蕩機理分析
實驗發現,當AD603增益較大時,電路極易產生高頻自激現象,現將其生成機理建模分析如下。首先介紹負反饋自激振蕩的經典理論。一般的負反饋電路可以抽象成如圖5所示的模型。發生自激振蕩的條件是:

其中,A為開環傳遞函數,F為負反饋傳遞函數。就圖1信號放大電路而言,每一級運放負反饋都是純電阻網絡反饋,而且運放的開環相位延遲恒小于180°,故單級運放不滿足自激條件。然而,印刷電路板不可避免要引入寄生電容,在超聲波頻率及其高頻諧波的量級上(2.5MHz至25MHz),它會引起各級之間的反饋。這里只考慮最后一級輸出信號到第一級AD8041的輸入的反饋,建立圖6所示的模型。

圖5一般負反饋電路

圖6寄生負反饋模型
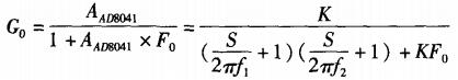
其中,C是上述兩端之間的寄生電容,假設其值僅有0.1pF;Rin為第一級AD8041的輸入電阻,前文已計算得,Rin=41.98kQ。它們實際上構成了一個無源高通濾波器。由于負反饋電路模型(圖5)中F指的是負反饋的傳遞函數,故圖6的模型向整個電路中引入的負反饋傳遞函數為:

其頻率響應曲線如圖7所示。

圖7寄生負反饋頻響曲線
可見,2.5MHz至25MHz頻率時的相位響應為.﹣93.8°至﹣123°,對比自激振蕩的條件可知,只要四個級聯的運放能在這一頻段上提供﹣86.2°至﹣57°的相位響應和足夠大的放大系數就可以發生自激振蕩。根據AD603數據手冊,它在這一頻段閉環傳遞函數的相位延遲很小,故這里只考慮AD8041閉環傳遞函數引起的相位延遲。每個AD8041閉環傳遞函數只要提供﹣43.1°至﹣28.5°的相位響應就滿足了自激振蕩的相位要求。
根據AD8041的開環頻率響應(如圖4所示),其開環傳遞函數包含兩個慣性環節和一個比例環節,極點對應的頻率分別為:f1=0.1MHz和f2=90MHz,比例系數K=2000。故開環傳遞函數表達式:

則圖3所示的AD8041閉環傳遞函數為:

其頻率響應曲線如圖8所示。可見,2.5MHz至25MHz頻率時的相位響應為﹣14.1°至﹣82.8°,因此在這一頻段必有一點的相位響應契合﹣43.1°至﹣28.5°的相位要求,滿足自激振蕩條件。

圖8AD8041閉環頻響曲線
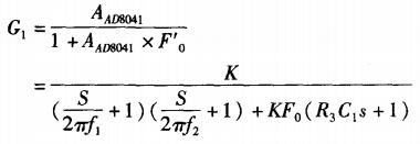
2.2超前補償消除自激振蕩的原理
通過在反相比例放大電路(如圖3所示)的電阻R,上并聯小值電容C。(經實驗確定取值20pF)構成超前補償,可以破壞自激振蕩的相位條件,從而消除這一現象。
超前補償后的負反饋傳遞函數為:

故新的閉環傳遞函數為:

其頻率響應曲線如圖9所示。
引入超前補償前后頻晌曲線比較
圖9引入超前補償前后頻晌曲線比較
可見,引入超前補償后,閉環傳遞函數從典型的振蕩環節變為兩個慣性環節,幅頻響應略有下降,但相頻響應產生了巨大變化。在需要關注的2.5MHz到25MHz頻上,相頻響應基本穩定在﹣90°,那么兩級AD8041超前補償的相頻響應為﹣180°,不可能提供﹣43.1°至﹣28.5°的相位條件。由此可見,超前補償可以從根本上消除自激振蕩。
結束語
本文總結了基于AD603的超聲探傷儀信號放大電路設計方案,該設計采用兩片增益可控的集成運算放大器AD603級聯的方式,實現了增益調整范圍84dB的信號放大電路。通過建模分析了實驗過程中四級運算放大器級聯產生自激振蕩的機理,采取超前補償可以破壞自激振蕩的相位條件,從而從根本上解決了該問題。
壹芯微科技專業生產"二極管,三極管,場效應管,橋堆",20年豐富的生產經驗,品質優秀,完美替代,專業生產管理團隊與工程師嚴格管控品質,超過4800家電路電器生產企業選用合作,價格低于同行(20%),更具性價比,提供技術支持,售后FEA,如需了解產品詳情,最新報價以及樣品申請,歡迎咨詢官網在線客服!
手機號/微信:13534146615
QQ:2881579535
工廠地址:安徽省六安市金寨產業園區
深圳辦事處地址:深圳市福田區寶華大廈A1428
中山辦事處地址:中山市古鎮長安燈飾配件城C棟11卡
杭州辦事處:杭州市西湖區文三西路118號杭州電子商務大廈6層B座
電話:13534146615
企業QQ:2881579535

深圳市壹芯微科技有限公司 版權所有 | 備案號:粵ICP備2020121154號