來源:壹芯微 發布日期
2022-04-15 瀏覽:-基于LM567的實用型液位計設計|壹芯微
對于中小型加油站等小型油庫、貯油罐的業主來說,需要隨時得知貯油量,以利于保持油料進出的基本平衡。在我國,測量油位采用的渚如磁致伸縮式液位測量儀,一方面價格太高,中小企業主不愿意承擔;另一方面,安裝、維護、使用不方便,帶來了不必要的麻煩,因此需要一種使用方便、具有一定精度的液位測量儀。為滿足貯油罐業主的這種需求,本文介紹了一種低成本、便攜式的實用型液位計;此液位計采用了超聲波檢測技術,以超聲波換能器作為傳感器件,以廉價的集成鎖相環音頻解碼器LM567作為回波的捕獲器件,以單片機作為主控器。文中還給出了硬件設計電路及單片機軟件程序流程圖,對液位計出現的測量誤差也進行了詳細的分析并提出了解決的方法。
1.液位計介紹
在容器中液體介質的高低叫做液位,測量液位的儀表叫液位計。液位計為物位儀表的一種。液位計的類型有音叉振動式、磁浮式、壓力式、超聲波、聲吶波,磁翻板、雷達等。其特點:
(1)穩定性好,滿度、零位長期穩定性可達0.1%FS/年。在補償溫度0~70℃范圍內,溫度飄移低于0.1%FS,在整個允許工作溫度范圍內低于0.3%FS。
(2)具有反向保護、限流保護電路,在安裝時正負極接反不會損壞變送器,異常時送器會自動限流在35MA以內。
(3)固態結構,無可動部件,高可靠性,使用壽命長。
(4)安裝方便、結構簡單、經濟耐用。

圖1液位計
2.LM567的內部結構及功能
LM567是一種常見的低價解碼集成電路,其內部結構如圖2a所示。LM567內部包含了兩個鑒相器、放大器、電壓控制振蕩器VCO等單元件。其典型的應用電路如圖2b所示。

圖2LM567內部結構廈典型電路困
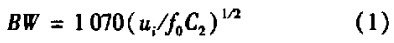
鎖相環路輸出信號由電壓控制振蕩器VCO產生,電壓控制振蕩器的自由振蕩頻率(即無外加控制電壓時的振蕩頻率)與腳5~腳6外接定時元件R1、C1的關系式為:f0≈(1/1.1)R1C1。選用適當的定時元件,可使LM567的振蕩頻率在0.01Hz~500kHz范圍內連續變化。腳l~腳2外接濾波電容C2、C3。LM567—般作為鎖相環路解碼器,即當從腳3輸入的信號的頻率在f0附近的帶寬BW范圍內時信號被捕捉到,從輸出腳8輸出低電平(未捕捉時為高電平)。帶寬BW可由式(1)計算得到:

式中:ui為輸入信號的幅值,r/rain,ui<200mV;C2為濾波電容,μF可調節帶寬。
實際上。由上式計算得出的并不是環路帶寬BW的實際值,而是環路帶寬BW與環路中心頻率工的百分比,其值再乘上100%才是鎖相環路的實際捕獲帶寬。
對輸入信號的要求是ui>20mV,式(1)是ui<200mV時的近似計算公式,捕捉帶寬與ui的關系如圖3所示。可見ui>200mV時帶寬僅由f0與C2的積決定。

圖3帶寬與輸入電壓度c2的關系
3.液位計的設計
3.1設計要求
小型加油站、油庫等業主對液位計的價格比較敏感,并且要求液位計方便攜帶、方便操作,同時對測量精度也有一定要求。為此研制了手持式液位計,其具體的技術參數如下:測量方式為非接觸式;測量范圍<5m;測量誤差<1cm;測量溫度范圍為0~85℃;測量環境壓強為1個標準大氣壓;供電方式為干電池;液位計尺寸為15cm×5cm×3cm。
3.2硬件設計
綜合考慮技術參數的要求決定采用通用的40kHz超聲波換能器作為測量液位的傳感器件,并用單片機作為主控器件。液位計的硬件組成如圖4所示。

圖4液位計硬件框圖
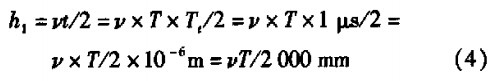
當聲波從液體或固體傳播到氣體,或從氣體傳播到固體或液體時,由于兩種介質的密度相差懸殊,聲波幾乎全部被反射。由此,當置于容器頂部的換能器向液面發射短促的聲脈沖時,經過時間t,換能器便可以接收到從液面反射回來的回波聲脈沖。設換能器發射面到液面的距離為h1,聲波在空氣中的傳播速度為v,則存在如下關系:

由于聲波在空氣中的傳播速度v已知,因此可用測時間的方法確定距離h1。設換能器發射面到容器底部的距離為h2,則被測液位H計算如下:
公式(3)
3.3用LM567作為回波檢測電路
超聲波檢測一般采用超聲波檢測專用集成電路LM1812,雖然效果較好,但價格較貴,且要用到電感等既笨重又易引入干擾的元件。用作液位測量的超聲波其頻率一般在40kHz左右,正好落在LM567可捕捉的范圍內,完全可用它作為超聲波檢測集成電路。圖5是LM567超聲波檢測電路。單片機從輸出引腳輸出約40kHz的方波,經三極管T后從超聲波發射頭發出超聲波,同時單片機內的定時器開始計時,超聲波碰到液面后反射回來被接收頭接收,經過兩級運放放大后送到LM567的輸入端(腳3),LM567捕捉到超聲波后輸出低電平(腳8未捕捉時為高電平),此負跳變可作為中斷輸人引起單片機中斷,定時器停止計時,定時器計時時問即為超聲波從發射到接收的時間t。

圖5超聲波檢測電路
3.4實驗中出現的問題解決
LM567存在著輸出延時,如果不予以考慮將產生較大的測量誤差。L51567的最大輸出延時與帶寬的關系如圖6所示。由圖6可見最大延時在27個以上超聲波周期之間,本設計中延時選定為27個超聲波周期。延時并不影響測量,在測量程序設計時可將其忽略,但要求延時較固定。為使延時比較固定,就要求有較固定的捕捉帶寬,這就要求運放要有足夠大的放大倍數。以使輸入信號足夠大。但輸入LM567的信號又不能太大,否則易引入干擾信號造成LM567輸出不穩定。本設計中運放的總放大倍數小于200;帶寬BW也不能太寬,否則干擾信號的影響較大,BW=5%左右為好。單片機測量程序流程圖如圖7所示。

圖6最大輸出延時與帶寬的關系

圖7程序流程圖
3.5測量距離的計算及誤差的消除
測得的距離:

式中:T為定時器的計數值;T=1μs為機器周期。從公式可以看出影響測距的兩個重要因素為超聲波的速度及計數值。聲速主要與溫度有關,另外還與氣體密度等現場條件有關。聲速與溫度的關系為:

通過離線計算出各溫度下的聲速值,預先存放到系統的串行存儲器24C01中,溫度傳感器得到測量現場的溫度值,查找存儲于24C01中與各溫度值對應的值得到超聲波的聲速,將此值傳回單片機。如果v以344m/s左右的整數代人,對聲速的最小調整量為lm/s,則由于聲速調整不準造成的誤差為0.5×1/344≈0.15%。對公式作如下改造:

由于聲速調不準造成的誤差減少為原來的1/30。V及60000都為雙字節數,由于T為雙字節(TH、TL),故計算h1分兩步進行:①雙字節乘法V×T;②4字節除2字節除法VT/60000,結果為2字節數。對應的程序如下:

結束語

本設計的實驗測量距離與實際距離比較結果如表1所示。由表1可見用LM567作為超聲波檢測電路不僅價格很低且具有較高的測量精度,達到了設計的技術要求。本液位計已應用于小型儲油罐油位測量及鍋爐水位檢測中。由于本液位計由干電池供電,不需要安裝,使用方便,且為非接觸式測量,作為便攜式液位計,可廣泛應用于野外無交流電源的情況下測量液位的場所及有化學污染等人體不便于接觸的場所。
深圳壹芯微科技,20年專業生產“二極管、三極管、場效應管、橋堆”等,專業生產管理團隊對品質流程嚴格管控,超過4800家電路電器生產企業選用合作,價格低于同行(20%),更具性價比,提供選型替代,送樣測試,數據手冊,技術支持,售后FEA,如需了解更多詳情或最新報價,歡迎咨詢官網在線客服!
手機號/微信:13534146615
QQ:2881579535
工廠地址:安徽省六安市金寨產業園區
深圳辦事處地址:深圳市福田區寶華大廈A1428
中山辦事處地址:中山市古鎮長安燈飾配件城C棟11卡
杭州辦事處:杭州市西湖區文三西路118號杭州電子商務大廈6層B座
電話:13534146615
企業QQ:2881579535

深圳市壹芯微科技有限公司 版權所有 | 備案號:粵ICP備2020121154號