來源:壹芯微 發布日期
2022-03-05 瀏覽:-基于UC3842芯片的Boost變換電路設計介紹|壹芯微
Boost變換器在一定的輸出功率下可以減小輸出電流以及輸出濾波電容的容值和體積,在開關電源和電子鎮流器中獲得廣泛應用。常用控制方法有電壓反饋控制和電流反饋控制,電流反饋控制可強迫電感電流跟蹤參考電流信號,具有響應速度快的優點。工作于連續電流模式(CCM)時,Boost變換器要引人多個反饋方式。工作于斷續電流模式(DCM)時,變換器對輸入電流自動整形,并有自然的零電流開通特性,需要的電感值小,控制簡單,適用于小功率場合。
目前,對Boost變換電路的CCM模式研究較多,已建立了諸多電路模型,取得了可喜的研究成果;對DCM模式的研究,主要為DC/DC電路,對AC/DC電路中DCM模式的研究甚少。本文基于小功率開關電源成本低、性價比高的要求,采用通用的UC3842芯片,設計了一種Boost變換電路,分析了DCM模式的工作特點及設計要點,并對所設計電路的合理性進行了仿真驗證。
1.DCM模式Boost變換器的電路模型
1.1DCM工作模式的數學模型
Boost變換電路結構如圖1(a)所示,在CCM模式下,開關管M和二極管VD5以互補方式導通;當電感很小或開關周期比較長時,在下一個周期開始前,二極管VD5和M都關斷,此時Boost變換電路工作在DCM模式,電感電流和脈寬調制器(PWM)輸出脈沖之間的對應波形如圖1(b)所示。

圖1Boost變換電路及DCM模式波形圖
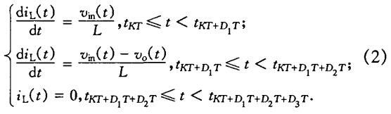
在第K個開關調制周期,開關管M和二極管VD5的通斷狀態滿足關系:

T為PWM的高頻調制周期;KT為PWM的第K個高頻調制周期;D1T為高頻調制周期內電感電流上升時間;D2T為高頻調制周期內電感電流下降時間;D3T為高頻調制周期內電感電流為0的時間。
Boost電路工作在DCM模式時,隨著開關管M和二極管VD5的通斷,系統的狀態可以用微分方程:

進行描述,式中,KT+D1T+D2T+D3T=(K+1)T;iL(t)為流過電感電流的瞬時值;υin(t)為電網側輸入電壓的瞬時值;υo(t)為Boost變換器輸出電壓的瞬時值。
1.2DCM模式的工作條件
從圖1可知,DCM模式下Boost變換器的電感電流都是從零開始線性增加的,在每個調制周期內,存在:

當電路輸出濾波電容很大,輸出電壓紋波與輸出電壓幅值相比可以忽略,輸出電壓υo(t)可看作為常數υo。雙環控制系統中,電流環參考電流Iref由電壓外環的輸出決定,則存在:

式中,υr(t)為電壓環為電流環提供的參考電壓的瞬時值;Rs為檢測電流的取樣電阻。
當電感電流跟隨正弦輸入電壓波形時,功率因數接近于1,此時可得占空比D1的表達式為:
表達式
式中,Vref為工頻周期內υr(t)的峰值;Vin為工頻周期內υin(t)的峰值。
同理可得,在每個調制周期內,占空比D2的表達式為:

當Boost變換器工作在臨界模式時,占空比滿足關系式D1+D2=1,由此可推得Boost電路從DCM進入CCM模式的臨界條件為:

當L<LCRM時,Boost電路工作在DCM模式;當L>LCRM時,Boost電路工作在CCM模式。此時,可得以下結論:
(1)DCM模式下,開關管M的導通時間D1T為一固定值,不隨電感電流的大小而改變。
(2)開關管關斷時,電感電流下降至0的時間D2T隨著輸出電壓和輸入電壓的變化而改變,輸入電壓越大,D2T越大,輸出電壓越大,D2T越小。
2.基于UC3842的DCM電路設計
2.1基于加法器的DCM電路設計
DCM型Boost電路包括了兩個控制環,即電壓環和電流環,其作用就是要消除電網電流尖峰,使輸入電流成為正弦形狀,并且和輸入電壓同相位。就單個開關周期而言,要求每個開關周期的電流和輸入電壓成正比。假如由于某種原因使輸出電壓升高,或使輸出電流增大時,脈寬調制器就會改變驅動信號的脈沖寬度,即占空比D,使斬波后的平均電壓或峰值電流下降,從而達到功率因數校正的目的。基于加法器的DCM電路原理圖如圖2所示。

圖2基于加法器的DCM電路原理圖
電壓外環采用加法器替代乘法器電路,電網側的反饋電壓用于保證電流信號為正弦信號,輸出反饋電壓用于保證輸出電壓為恒定值,兩者通過加法器U2進行合成,加法器U2的輸出信號送入UC3842電流環中的誤差放大器,與給定基準電壓進行比較,比較結果送入電流測定比較器。主電路中電感的峰值電流信號L(t)同時送入電流測定比較器,兩者的比較結果送入PWM中RS鎖存器的R輸入端,內部振蕩電路輸出的時鐘信號送入PWM中RS鎖存器的S輸入端,共同作用控制開關管M1的斷開和閉合。
2.2UC3842芯片的工作原理
UC3842是一種高性能的單端輸出式電流型PWM控制器.電流控制環由PWM鎖存器、電流檢測比較器、誤差放大器和鋸齒波振蕩電路組成,其內部結構圖如圖3所示。

圖3UC3842芯片工作原理圖
該芯片能產生頻率固定而脈沖寬度可以調節的驅動信號,用外部元件RT和CT可設定振蕩頻率,并精確地控制占空比。可通過控制開關管的通斷狀態來調節輸出電壓的高低,達到穩壓目的。電壓調整率很好,頻響特性好,穩定幅度大,具有過流限制、過壓保護和欠壓鎖定功能。外部管腳較少,體積小,是一種經濟型的PWM驅動控制芯片。
3.DCM模式電路的仿真與分析
為了驗證所推導的臨界條件和設計電路的正確性,利用OrCAD10.5軟件對所設計電路進行了仿真驗證。
當電源側輸入為工頻交流電,其電路參數為υin=311.13sin(ωt),υo=385V,RL=1482Q,L=400μH時,Boost變換器工作在DCM模式,其輸出電壓和電感電流的波形如圖4所示。

圖4Boost變換器輸出電壓和電感電流波形
不同時刻占空比的波形如圖5所示。

圖5不同時刻占空比D1T的大小
若電感值增大并超過臨界值LCRM,電感電流會出現由DCM模式到CCM模式的變化,當電感值L=1.2mH時,Vo=508V,其波形如圖6所示。

圖6L=1.2mH時的電感電流波形
DCM階段的占空比D1T的波形如圖7所示。
電感超過臨界值時DCWI階段的占空比
圖7電感超過臨界值時DCWI階段的占空比
由仿真結果可以看出,在DCM模式下,開關管的導通時間為固定值,當電感L大于臨界值時,會出現DCM向CCM的過渡,CCM模式出現在工頻電流的峰值附近。
結論
本文總結了基于UC3842芯片的Boost變換電路設計方案。通過對Boost變換器DCM模式的電路分析,建立了DCM模式下Boost變換器的電路模型,研究了該模式下占空比變化規律以及由DCM模式進入CCM模式的臨界條件。利用通用的PWM調制器UC3842芯片,設計了一種基于加法原理的Boost變換電路,并利用仿真軟件驗證了所得結論的正確性。電路仿真結果表明,所設計的DCM電路可以滿足電感電流完全跟隨電壓波形的要求,達到了提高功率因數的目的。該研究為開發低成本的小功率開關電源提供了設計思路。
壹芯微科技專業生產"二極管,三極管,場效應管,橋堆",20年豐富的生產經驗,品質優秀,完美替代,專業生產管理團隊與工程師嚴格管控品質,超過4800家電路電器生產企業選用合作,價格低于同行(20%),更具性價比,提供技術支持,售后FEA,如需了解產品詳情,最新報價以及樣品申請,歡迎咨詢官網在線客服!
手機號/微信:13534146615
QQ:2881579535
工廠地址:安徽省六安市金寨產業園區
深圳辦事處地址:深圳市福田區寶華大廈A1428
中山辦事處地址:中山市古鎮長安燈飾配件城C棟11卡
杭州辦事處:杭州市西湖區文三西路118號杭州電子商務大廈6層B座
電話:13534146615
企業QQ:2881579535

深圳市壹芯微科技有限公司 版權所有 | 備案號:粵ICP備2020121154號