來源:壹芯微 發布日期
2023-05-30 瀏覽:-開關電源中如何選擇電感
開關電源中如何選擇合適的電感
電感是電路中常見的儲能被動元器件,在開關電源的設計中起到濾波,升壓,降壓等作用。
理解電感的功能
電感元器件是開關電源輸出端中的LC濾波電路中的“L”在降壓轉換中,電感的一端是連接到DC輸出電壓。另一端通過開關頻率切換連接到輸入電壓或GND。
在狀態1過程中,電感會通過MOSFET連接到輸入電壓。在狀態2過程中,電感連接到GND。
由于使用了這類的控制器,可以采用兩種方式實現電感接地:通過二極管接地或通過MOSFET接地。如果是前一種方式,轉化器稱為異步方式。后一種方式,轉換器就稱為同步方式。
在狀態1過程中,電感的一端連接到輸入電壓,另一端連接到輸出電壓。對于一個降壓轉換器,輸入電壓必須比輸出電壓高,因此會在電感上形成正向壓降。
在狀態2過程中,原來連接到輸入電壓的電感一端被連接到地。對于一個降壓轉換器,輸出電壓必然為正端,因此會在電感上形成負向的壓降。
電感電壓計算公式
V=L(dI/dt)
因此,當電感上的電壓為正時(狀態1),電感上的電流就會增加;當電感上的電壓為負時(狀態2),電感上的電流就會減小。通過電感的電流如圖2所示:
通過上圖我們可以看到,流過電感的最大電流為DC電流加開關峰峰電流的一半。上圖也稱為紋波電流。根據上述的公式,我們可以計算出峰值電流:其中,ton是狀態1的時間,T是開關周期,DC為狀態1的占空比。
同步轉換電路
異步轉換電路
Rs為感應電阻阻抗加電感繞線電阻的阻。Vf是肖特基二極管的正向壓降。R是Rs加MOSFET導通電阻,R=Rs+Rm。
電感磁芯的飽和度
通過已經計算的電感峰值電流,我們會知道,隨著通過電感的電流增加,它的電感量會衰減。 這是由于磁芯材料的物理特性決定的。
電感量會衰減多少非常關鍵,重要:如果電感量衰減過大,轉換器就不會正常工作了。 當通過電感的電流大到電感失效的程度,此時的電流稱為“飽和電流”。 這也是電感的基本參數。
轉換電路中的功率電感會有一個飽和曲線非常關鍵,值得注意。要了解這個概念可以觀察實際測量的LvsDC電流的曲線:
當電流增加到一定程度后,電感量就會急劇下降,這就是飽和特性。如果電流再增加,電感就會失效了。
有了這個飽和的特性,我們就可以知道在所有的轉換器中為什么都會規定在DC輸出電流下的電感值變化范圍(△L≤20%或30%),電感規格書上為什么會有Isat這個參數了。
由于紋波電流的變化不會嚴重影響電感量。 在所有的應用中都希望紋波電流盡量的小,因為它會影響輸出電壓的紋波。 這也就是為什么大家總是很關心DC輸出電流下的電感量的衰減程度,而會在規格書中忽略紋波電流下的電感量的原因。
開關電源選擇合適的電感
電感是開關電源中常用的元件,由于它的電流、電壓相位不同,所以理論上損耗為零。 電感常為儲能元件,具有“來拒去留”的特點,常與電容一起用在輸入濾波和輸出濾波電路上,用來平滑電流。
電感為磁性元件,自然有磁飽和的問題。 有的應用允許電感飽和,有的應用允許電感從一定電流值開始進入飽和,也有的應用不允許電感出現飽和,這要求在具體線路中進行區分。
大多數情況下,電感工作在“線性區”,此時電感值為一常數,不隨著端電壓與電流而變化。 但是,開關電源存在一個不可忽視的問題,即電感的繞線將導致兩個分布參數(或寄生參數),一個是不可避免的繞線電阻,另一個是與繞制工藝、材料有關的分布式雜散電容。
雜散電容在低頻時影響不大,但隨頻率的提高而漸顯出來,當頻率高到某個值以上時,電感也許變成電容特性了。 如果將雜散電容“集中”為一個電容,則從電感的等效電路可以看出在某一頻率后所呈現的電容特性。
當分析電感在線路中的工作狀況時,一定要考慮下面幾個特點:
1.當電感L中有電流I流過時,電感儲存的能量為:E=0.5×L×I2(1)
2.在一個開關周期中,電感電流的變化(紋波電流峰峰值)與電感兩端電壓的關系為:V=(L×di)/dt(2)由此可看出,紋波電流的大小跟電感值有關。
3.電感器也有充、放電壓過程。 電感上的電流與電壓的積分(伏·秒)成正比。 只要電感電壓變化,電流變化率di/dt也將變化; 正向電壓使電流線性上升,反向電壓使電流線性下降。
降壓型開關電源的電感選擇
降壓型開關電源選擇電感器時,需要確定最大輸入電壓、輸出電壓、電源開關頻率、最大紋波電流、占空比。
下面說明降壓型開關電源電感值的計算,首先假設開關頻率為300kHz、輸入電壓范圍12V±10%、輸出電流為1A、最大紋波電流300mA。
降壓型開關電源的電路圖
最大輸入電壓值為13.2V,對應的占空比為:
D=Vo/Vi=5/13.2=0.379(3)
其中,Vo為輸出電壓、Vi為輸出電壓。 當開關管導通時,電感器上的電壓為:
V=Vi-vo=8.2V(4)
當開關管關斷時,電感器上的電壓為:
v=-vo-vd=-5.3V(5)
dt=D/F(6)
把公式2/3/6代入公式2得出:
升壓型開關電源的電感選擇
升壓型開關電源的電感值計算,除了占空比與電感電壓的關系式有所改變外,其它過程跟降壓型開關電源的計算方式一樣。
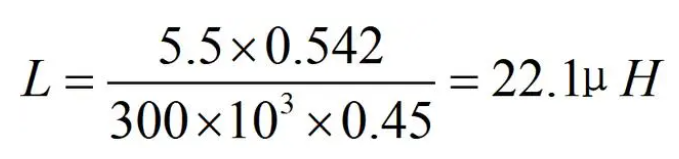
假設開關頻率為300kHz、輸入電壓范圍5V±10%、輸出電流為500mA、效率為80%,則最大紋波電流為450mA,對應的占空比為:D=1-Vi/Vo=1-5.5/12=0.542(7)
升壓型開關電源的電路圖
當開關管導通時,電感器上的電壓為:V=Vi=5.5V(8)當開關管關斷時,電感器上的電壓為:V=Vo+Vd-Vi=6.8V(9)把公式6/7/8代入公式2得出:
請注意,升壓電源與降壓電源不同,前者的負載電流并不是一直由電感電流提供。
當開關管導通時,電感電流經過開關管流入地,而負載電流由輸出電容提供,因此輸出電容必須有足夠大的儲能容量來提供這一期間負載所需的電流。 但在開關管關斷期間,流經電感的電流除了提供給負載,還給輸出電容充電。
一般而言,電感值變大,輸出紋波會變小,但電源的動態響應也會相應變差,所以電感值的選取可以根據電路的具體應用要求來調整以達到最理想效果。
開關頻率的提高可以讓電感值變小,從而讓電感的物理尺寸變小,節省電路板空間,因此目前的開關電源有往高頻發展的趨勢,以適應電子產品的體積越來越小的要求。
開關電源的分析與應用
楞次定律相關內容:在直流供電的時候,由于線圈的自感作用,線圈將產生一個自感電動勢,此電動勢將阻礙線圈電流的增加,所以在通電的一瞬間,電路電流可以認為是0,此時電路全部壓降全落在線圈上,然后電流緩慢增加,線圈端電壓緩慢下降直到為零,暫態過程結束。
在轉換器的開關運行中,必須保證電感不處在飽和狀態,以確保高效率的能量存儲和傳遞。飽和電感在電路中等同于一個直通DC通路,故不能存儲能量,也就會使開關模式轉換器的整個設計初衷功虧一簣。在轉換器的開關頻率已經確定時,與之協同工作的電感必須足夠大,并且不能飽和。
開關電源中的電感確定:開關頻率低,由于開和關的時間都比較長,因此為了輸出不間斷的需要,需要把電感值加大點,這樣可以讓電感可以存儲更多的磁場能量。同時,由于每次開關比較長,能量的補充更新沒有如頻率高時的那樣及時,從而電流也就會相對的小點。
這個原理也可以用公式來說明:
L=(dt/di)*uL
D=Vo/Vi,降壓型占空比D=1-Vi/Vo,升壓型占空比
dt=D/F,F=開關頻率
di=電流紋波
所以得L=DuL/(Fdi),當F開關頻率低時,就需要L大一點;同意當L設大時,其他不變情況下,則紋波電流di就會相對減小在高的開關頻率下,加大電感會使電感的阻抗變大,增加功率損耗,使效率降低。
同時,在頻率不變條件下,一般而言,電感值變大,輸出紋波會變小,但電源的動態響應(負載功耗偶爾大偶爾小,在大小變化之間相應慢)也會相應變差,所以電感值的選取可以根據電路的具體應用要求來調整以達到最理想效果。
壹芯微科技專注于“二,三極管、MOS(場效應管)、橋堆”研發、生產與銷售,20年行業經驗,擁有先進全自動化雙軌封裝生產線、高速檢測設備等,研發技術、芯片源自臺灣,專業生產流程管理及工程團隊,保障所生產每一批物料質量穩定和更長久的使用壽命,實現高度自動化生產,大幅降低人工成本,促進更好的性價比優勢!選擇壹芯微,還可為客戶提供參數選型替代,送樣測試,技術支持,售后服務等,如需了解更多詳情或最新報價,歡迎咨詢官網在線客服!
手機號/微信:13534146615
QQ:2881579535
工廠地址:安徽省六安市金寨產業園區
深圳辦事處地址:深圳市福田區寶華大廈A1428
中山辦事處地址:中山市古鎮長安燈飾配件城C棟11卡
杭州辦事處:杭州市西湖區文三西路118號杭州電子商務大廈6層B座
電話:13534146615
企業QQ:2881579535

深圳市壹芯微科技有限公司 版權所有 | 備案號:粵ICP備2020121154號