來源:壹芯微 發布日期
2022-01-14 瀏覽:-利用XC2V1000型FPGA實現FIR抽取濾波器的設計介紹
抽取濾波器廣泛應用在數字接收領域,是數字下變頻器的核心部分。目前,抽取濾波器的實現方法有3種:單片通用數字濾波器集成電路、DSP和可編程邏輯器件。使用單片通用數字濾波器很方便,但字長和階數的規格較少,不能完全滿足實際需要。使用DSP雖然簡單,但程序要順序執行,執行速度必然慢。現場可編程門陣列(FPGA)有著規整的內部邏輯陣列和豐富的連線資源,特別適用于數字信號處理,但長期以來,用FPGA實現抽取濾波器比較復雜,其原因主要是FPGA中缺乏實現乘法運算的有效結構。現在,FPGA集成了乘法器,使FPGA在數字信號處理方面有了長足的進步,因此本文介紹用Xilinx公司的XC2V1000型FPGA實現FIR抽取濾波器的設計方法。
1.XC2V1000簡介

XC2V1000
Virtex-Ⅱ系列是Xilinx公司近幾年研發的具有高性能、高速度和低功耗特點的新一代FPGA,一經問世就備受界內人士的青睞。該系列FPGA基于IP核和專用模塊設計,能夠為電信、無線電、網絡、視頻和數字信號處理領域的應用提供完整的解決方案。XC2V1000是Virtex-Ⅱ家族的一員,具有如下主要特點:
●100萬個系統門;
●40×32個可配置邏輯單元(5120個slice);
●40個18×18bits乘法器,1個工作時鐘內即可完成乘法運算;
●720KbitsRAM,可靈活配置(單口、雙口、有使能或無使能等);
●8個DCM(DigitalClockManager)模塊;
●328個用戶I/O。
此外,Xilinx公司還提供了功能強大的開發平臺(ISE),開發者可通過該平臺完成全部設計。
2.抽取濾波器的原理
抽取濾波器的工作原理是在濾波過程中實現抽取。對于抽取率為N的抽取濾波器而言,不是每進入1個新數據就完成1次濾波運算,然后再抽取,而是當進來N個數據時濾波器才完成1次濾波運算,輸出1次濾波結果。抽取濾波器的結果和先濾波后抽取的結果是一致的,只是對于同樣的數據,進行濾波運算的次數大大減少。在數字系統中采用抽取濾波器的最大優點是增加了每次濾波的可處理時間,從而達到實現高速輸入數據的目的。下面以抽取率為2的具有線性相位的3階FIR抽取濾波器為例介紹抽取濾波器的實現過程。
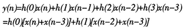
線性相位的FIR濾波器的系數具有某種對稱的性質,3階Ⅱ類FIR線性相位濾波器在數學上可以表示為:

其中,h(0)=h(3),h(1)=h(2)。其結構如圖1所示。由圖1可見,具有4個系數的3階Ⅱ類FIR線性相位濾波器只需2次加法、2次乘法和2次累加就可以完成1次濾波運算。如果IPGA工作時鐘為80MHz,輸入x(n)的數據率也為80MHz,那么經2倍抽取后輸出y(n)為40MHz。也就是說,抽取濾波器每完成1次濾波運算,需要2個工作時鐘。如果加法器、乘法器和累加器在單個時鐘內就能完成1次功能運算,那么只需1個加法器、1個乘法器和1個累加器采用流水線操作在2個工作時鐘內就可以完成2次加法、2次乘法和2次累加運算,就可以完成一次抽取濾波。
3階Ⅱ類FIR線性相位濾波器的結構
圖13階Ⅱ類FIR線性相位濾波器的結構
3.具體實現
3.1結構設計
基于上述抽取濾波器的工作原理,筆者用XC2V1000實現了這個抽取率為2、具有線性相位的3階FIR抽取濾波器,利用原理圖和VHDL硬件描述語言共同完成源文件設計。圖2是抽取濾波器的頂層原理圖。其中,clock是工作時鐘,reset是復位信號,enable是輸入數據有效信號,data_in(17:0)是輸入數據,data_out(17:0)是輸出數據,valid是輸出數據有效信號。addei18是加法器模塊,mult18是乘法器模塊,acc36是累加器模塊,signal_36-18是數據截位器模塊,fir_controller是控制器模塊。控制器定時向加法器、乘法器和累加器發送數據或控制信號,實現流水線操作。

圖2抽取濾波器的頂層原理圖
(1)控制器(fir_controller)
控制器是抽取濾波器的核心模塊,有2種功能:接收輸入數據,向其他模塊發送數據和控制信號。它根據加法器、乘法器和累加器的時序特性,規律地向加法器發送抽頭數據,向乘法器發送系數,向累加器發送控制信號,讓加法器、乘法器和累加器每個時鐘都完成指定的任務,從而實現流水線操作。控制器用YHDL語言描述,用寄存器存放抽頭和系數。
(2)加法器(adder18)
加法器的輸入和輸出都是18bits,用VHDL語言描述實現。它有2個工作時鐘的延遲,在輸入數據準備好的情況下,第一個時鐘得出相加結果,第二個時鐘把相加結果鎖存輸出。
(3)乘法器(multl8)
乘法器是18bits輸入和36bits輸出,用庫元件MULT18X18S和36bits鎖存器實現。MULT18Xl8S是XC2V1000自帶的18×18bits乘法器,單個時鐘就可完成乘法運算;36bits鎖存器工作于時鐘的上升沿,用VHDL語言描述。乘法器(mult18)也有2個工作時鐘的延時,在輸入數據準備好的情況下,第一個時鐘得出相乘結果,第二個時鐘把相乘結果鎖存輸出。加法器和乘法器采用鎖存輸出的結構,雖然增加了1個工作時鐘的延遲,但有利于抽取濾波器穩定的工作,提高可靠性。
(4)累加器(acc36)
36bits累加器用于累加乘法器的輸出,得出濾波結果。它有1個控制端口clr,當clr為高電平時,輸出前一輪累加結果,并初始化開始新一輪累加;當clr為低電平時.進行累加運算。累加器用VHDL語言描述。
(5)數據截位器(signal_36-18)
數據截位器用VHDL語言描述,用于把累加器的36位輸出進行取舍處理,一般截掉數據低位部分,保留數據高位。為了對抽取濾波器進行功能仿真,這里截掉數據高18位,保留數據低18位。
3.2工作過程及功能仿真
加法器、乘法器和累加器在控制器的作用下每個時鐘都要完成指定的任務,從而形成流水線操作,實現抽取濾波。
下面以抽取濾波器完成1次抽取濾波的全過程為例,說明抽取濾波器的工作過程。假設時鐘1、時鐘2、時鐘3和時鐘4控制器已接收了數據x(n-3)、x(n-2)、x(n-1)和x(n),那么,
時鐘5:控制器向加法器發送數據x(n)和x(n-3);
時鐘6:加法器進行。x(n)+x(n-3)運算;控制器向加法器發送數據x(n-1)和x(n-2);
時鐘7:加法器進行x(n-1)+x(n-2)運算,輸出x(n)+x(n-3)運算結果。控制器向乘法器發送系數h(0);
時鐘8:加法器輸出x(n-1)+x(n-2)運算結果,乘法器進行h(0)[x(n)+x(n-3)]運算,控制器向乘法器發送系數h(1);
時鐘9:乘法器進行h(1)[x(n-1)+x(n-2)]運算,輸出h(0)[x(n)+x(n-3)1運算結果。控制器向累加器發送控制信號(clr為高電平);
時鐘10:乘法器輸出h(1)[x(n-1)+x(n-2)]運算結果。累加器初始化開始累加操作。控制器向累加器發送控制信號(clr為低電平);
時鐘11:累加器進行累加運算h(0)[x(n)+x(n-3)]+h(1)[x(n-1)+x(n-2)]。控制器向累加器發送控制信號(clr為高電平),控制器輸出濾波數據有效信號(valid為高電平);
時鐘12:累加器輸出h(0)[x(n)+x(n-3)]+h(1)[x(n-1)+x(n-2)]累加結果,并初始化開始新一輪累加操作。控制器輸出濾波數據無效信號(valid為低電平);
以上就是抽取濾波器完成1次抽取濾波的全過程。可見,從數據x(n)輸入到濾波結果y(n)輸出需要8個工作時鐘。如果控制器不停地向加法器、乘法器和加法器發送抽頭、系數和控制信號,就會形成流水線操作,那么每2個時鐘,抽取濾波器就會輸出1個濾波結果。圖3是抽取濾波器的仿真波形圖,其中在控制器中設置系數h(0)=1和h(1)=2。

圖3抽取濾波器的仿真波形圖
3.3注意事項
2個n位二進制數相加,其和至少需要n+l位二進制數才能正確表示。本設計中的加法器輸入輸出都是18位,為了防止加法器溢出,應確保18位輸入數據x(n)的最高2位相同(都是符號位)。
為了實現抽取濾波器的多級串聯結構,應統一輸入數據有效信號enable和輸出數據有效信號valid的時序要求。本設計規定控制器在累加器輸出濾波結果數后下1個時鐘送出濾波結果有效信號,時寬為1個工作時鐘周期。
4.設計特點
采用此設計結構實現抽取濾波器具有以下3個特點:
(1)節省片內資源和提高資源使用效率
Xilinx公司為了方便用戶設計濾波器,在IP核中集成了通用數字濾波器的設計,但利用IP核生成的數字濾波器往往不能針對實際情況合理地利用片內資源,造成資源浪費。本設計中采用了流水線結構,所有功能模塊都滿負荷工作,沒有空閑等待時鐘,從而節省了片內資源,提高了資源使用率。
(2)可以實現抽取濾波器多級結構
針對抽取濾波器的輸出特性,可以采取相同的設計方法再設計一級抽取濾波器,對前一級輸出的數據再次抽取濾波,從而實現多級抽取濾波器結構。
(3)設計靈活且擴展性強
用寄存器存放抽頭和系數適用于濾波器階數較少的情況,如果需要用上百階的抽取濾波,最好用片內:RAM存放抽頭和系數,這時只要稍加改動控制器的邏輯設計既可實現。在此基礎上,還可實現可編程抽取濾波器。
結束語
本文介紹了一種用XC2V1000型FPGA實現FIR抽取濾波器的設計方法,以實現抽取率為2的具有線性相位的3階FIR抽取濾波器為例;經實驗證明,用該方法設計出的抽取濾波器靈活性強、資源利用率高,能廣泛應用于數字接收領域。
〔壹芯微〕專業研發生產二極管,三極管,MOS管,橋堆,專注領域,專業品質,研發技術-芯片源自中國臺灣,擁有全工序封裝生產線,配備高標準可靠性實驗室,引入國外先進測試儀器,檢測設備,以及專業團隊豐富的生產經驗,保障每個器件的參數和性能的充分穩定性,同時實現了高度全自動化生產,大幅度降低人工成本,并與中國臺灣芯片制造商達成合作,產品低于同行10%,壹芯微還提供有選型替代,技術支持,售后FAE,歡迎點擊頁面右側"在線客服" 咨詢了解產品詳情和最新報價,提供免費樣品送予測試
手機號/微信:13534146615
QQ:2881579535
工廠地址:安徽省六安市金寨產業園區
深圳辦事處地址:深圳市福田區寶華大廈A1428
中山辦事處地址:中山市古鎮長安燈飾配件城C棟11卡
杭州辦事處:杭州市西湖區文三西路118號杭州電子商務大廈6層B座
電話:13534146615
企業QQ:2881579535

深圳市壹芯微科技有限公司 版權所有 | 備案號:粵ICP備2020121154號