來源:壹芯微 發布日期
2023-04-15 瀏覽:-MOS管的靜態特性介紹(上)
目前MOSFET仍是數字集成電路廣泛使用的器件,根據MOS管的靜態模型,以NMOS為例,分析其電流電壓特性。 器件部分涉及到很多半導體物理、器件物理相關知識,暫不深入探究,MOS管的基本結構如圖所示。
<閾值電壓>
MOS管強反型發生時VGS的值稱為閾值電壓VT。
強反型的發生:假設源、漏均接地,當柵電壓開始為正時,與SiO2接觸的硅表面多子(空穴)減少; 當柵電壓升高,空間電荷區(也稱耗盡層)開始出現; 柵電壓繼續升高到硅表面的電勢達到臨界值,出現強反型,發生的電壓等于兩倍的費米電勢。
不同偏置條件下的閾值電壓:
參數γ稱為體效應(襯偏效應)系數,表明V某人的影響。 說明一點,源、漏極取決于兩邊電壓的高低,在反型后多子流出的稱為源極(Source),流入的稱為漏極(Drain)。
<電阻工作區>
假設V 一般事務人員 >V T ,在漏區和源區之間加上一個小電壓V DS 。
在溝道的x處,電壓為V(x),柵至溝道的電壓為V 一般事務人員 -V(x)。 處于電阻工作區,電壓在整個溝道超過了閾值電壓,x點所感應出單位面積溝道電荷:
Qi(x) = –Cox [VGS – V(x) – VT]
式中,C牛為柵氧的單位面積電容。
電流是載流子的漂移速度un與存在電荷的乘積:
ID = –a(x)Qi(x)W
式中,W是垂直于電流方向的溝道寬度。 電子通過的速度與遷移率的參數mn和電場相關。
所以,聯合上面兩式,可以得出:
IDdx = unCoxW(VGS–V – VT)dV
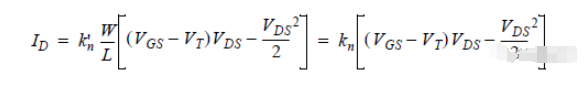
MOS晶體管的輸出電流-電壓特性的經典薩氏方程:
kn'稱為工藝跨導參數,為:
當VDS值的值較小時,平方項可忽略,VDS和ID之間呈線性關系。
<飽和區>
漏源電壓進一步提高時,溝道全長中的部分電壓可能出現小于閾值電壓的情況:
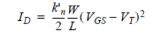
此時導電溝道開始出現夾斷的現象,晶體管處于飽和區。 此時溝道上的夾斷點到源的電壓差固定為VGS-VT,電流保持穩定值(飽和),漏電流與控制電壓VGS之間存在平方關系:
溝道長度調制:在飽和模式下,增加VDS將使漏結的耗盡區加大,縮短了有效溝道的長度。
λ稱為溝長調制系數,一般與溝長成反比。
壹芯微科技專注于“二,三極管、MOS(場效應管)、橋堆”研發、生產與銷售,20年行業經驗,擁有先進全自動化雙軌封裝生產線、高速檢測設備等,研發技術、芯片源自臺灣,專業生產流程管理及工程團隊,保障所生產每一批物料質量穩定和更長久的使用壽命,實現高度自動化生產,大幅降低人工成本,促進更好的性價比優勢!選擇壹芯微,還可為客戶提供參數選型替代,送樣測試,技術支持,售后服務等,如需了解更多詳情或最新報價,歡迎咨詢官網在線客服!
手機號/微信:13534146615
QQ:2881579535
工廠地址:安徽省六安市金寨產業園區
深圳辦事處地址:深圳市福田區寶華大廈A1428
中山辦事處地址:中山市古鎮長安燈飾配件城C棟11卡
杭州辦事處:杭州市西湖區文三西路118號杭州電子商務大廈6層B座
電話:13534146615
企業QQ:2881579535

深圳市壹芯微科技有限公司 版權所有 | 備案號:粵ICP備2020121154號