來源:壹芯微 發布日期
2023-05-05 瀏覽:-如何用LLC電路實現軟開關
與傳統PWM(脈寬調節)變換器不同,LLC是一種通過控制開關頻率(頻率調節)來實現輸出電壓恒定的諧振電路。它的優點是:實現原邊兩個主MOS開關的零電壓開通(ZVS)和副邊整流二極管的零電流關斷(ZCS),通過軟開關技術,可以降低電源的開關損耗,提高功率變換器的效率和功率密度。
學習并理解LLC,我們必須首先弄清楚以下兩個基本問題:
1.什么是軟開關;
2.LLC電路是如何實現軟開關的。
由于普通的拓撲電路的開關管是硬開關的,在導通和關斷時MOS管的Vds電壓和電流會產生交疊,電壓與電流交疊的區域即MOS管的導通損耗和關斷損耗。如圖所示:
為了降低開關管的開關損耗,提高電源的效率,有零電壓開關(ZVS) 和零電流開關(ZCS)兩種軟開關辦法。
1
零電壓開關 (ZVS)
開關管的電壓在導通前降到零,在關斷時保持為零。
2
零電流開關(ZCS)
使開關管的電流在導通時保持在零,在關斷前使電流降到零。
由于開關損耗與流過開關管的電流和開關管上的電壓的成績(V*I)有關,當采用零電壓ZVS導通時,開關管上的電壓幾乎為零,所以導通損耗非常低。
?Vin為直流母線電壓,S1,S2為主開關MOS管(其中Sc1和Sc2分別為MOS管S1和S2的結電容,并聯在Vds上的二極管分別為MOS管S1和S2的體二極管),一起受控產生方波電壓;
?諧振電容Cr 、諧振電桿Lr 、 勵磁電桿Lm一起構成諧振網絡;
?np,ns為理想變壓器原副邊線圈;
?二極管D1, 二極管D2,輸出電容Co一起構成輸出整流濾波網絡。
那么LLC電路是怎么實現軟開關的呢?
要實現零電壓開關,開關管的電流必須滯后于電壓,使諧振槽路工作在感性狀態。
LLC 開關管在導通前,電流先從開關MOS管的體二極管(S到D)內流過,開關MOS管D-S之間電壓被箝位在接近0V(二極管壓降),此時讓開關MOS管導通,可以實現零電壓導通;在關斷前,由于D-S 間的電容電壓為0V而且不能突變,因此也近似于零電壓關斷(實際也為硬關斷)。
那什么是諧振呢?
我們不妨先看看電感和電容的基本特性:
與電阻不同,電感和電容都不是純阻性線性器件,電感的感抗XL和電容的容抗Xc都與頻率有關,當加在電感和電容上的頻率發生變化時,它們的感抗XL和容抗Xc會發生變化。
1、如下圖RL電路,當輸入源Vin的頻率增加時,電感的感抗增大,輸出電壓減小,增益Gain=Vo/Vin隨頻率增加而減小。
2、如下圖RC電路,相反,當輸入源Vin的頻率增加時,電容的容抗減小,輸出電壓增大,增益Gain=Vo/Vin隨頻率增加而增加。
下面我們分析一下LLC諧振電路的特性
如圖,當我們將L和C都引入電路中發現,當輸入電壓源的頻率從0開始向某一頻率增加時,LC電路呈容性(容抗>感抗),增益Gain=Vo/Vin隨頻率增加而增加,當從這一頻率再向右邊增加時,LC電路呈感性(感抗>容抗),增益Gain=Vo/Vin隨頻率增加而降低。這一頻率即為諧振頻率(此時感抗=容抗,XL=Xc=ωL=1/ωC),諧振時電路呈純電阻性,增益最大。
諧振條件:感抗=容抗,XL=Xc=ωL=1/ωC
諧振頻率:fo
那么諧振有什么作用呢?
控制讓諧振電路發生諧振,有三個參數可以調節。由于L和C的大小不方便調節,通過調節輸入電壓源的頻率,可以使L、C的相位相同,整個電路呈現為純電阻性,諧振時,電路的總阻抗達到或近似達到極值。利用諧振的特征控制電路工作在合適的工作點上,同時又要避免工作在不合適的點上而產生危害。
LLC穩定輸出電壓原理
將LLC電路等效分析,得到i如下簡化電路。當交流等效負載Rac變化時,系統通過調整工作頻率,改變Zr 和Zo的分壓比,使得輸出電壓穩定,LLC就是這樣穩定輸出電壓的。
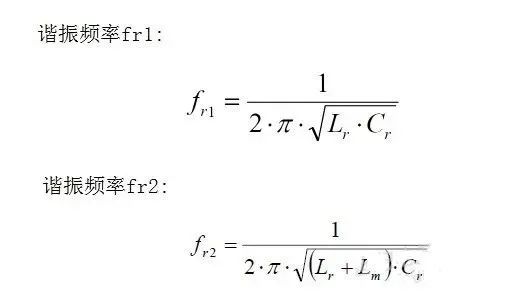
對LLC來說,有兩個諧振頻率,一個諧振頻率fo是利用諧振電感Lr諧振電容Cr組成;
另一個一個諧振頻率fr1是利用諧振電感Lr,勵磁電感Lm,諧振電容Cr一起組成;
▼再來看一份更為詳細的LLC工作模態分析:
開關網絡:S1、S2及其內部寄生二極管Ds1Ds2、寄生電容Cds1Cds2;
諧振網絡:諧振電容Cr 、串聯諧振電感Lr 、并聯諧振電感 Lm;
中心抽頭變壓器(匝比為n1),副邊整流二極管 D1、D2;
輸出濾波電容Co (忽略電容的ESR),負載 Ro。
1.1 LLC變換器的模態分析
對于LLC電路,存在兩個諧振頻率:
1.1.1 工作區域2(fr2

1.1.2 工作區域2(fr2


1.1.3 工作區域2(fr2


1.1.4 工作區域2(fr2
1.1.5 工作區域2(fr2
1.2 f=fr1 情況下的波形圖
1.3 f>fr1情況下的模態分析
1.3.1工作區域1(f>fr1) 模態1

1.3.2工作區域1(f>fr1) 模態2
1.3.3工作區域1(f>fr1) 模態3
1.3.4 工作區域1(f>fr1) 模態4
總結:
開關頻率fr2
開關頻率f=fr1時, LLC諧振變換器工作在完全諧振狀態,原邊開關管可以實現ZVS,整流二極管工作在臨界電流模式,此時可以實現整流二極管的ZCS,消除了因二極管反向恢復所產生的損耗;
開關頻率f>fr1時, LLC諧振變換器原邊開關管在任何負載下都可以實現ZVS,但是變壓器勵磁電感由于始終被輸出電壓所鉗位,因此,只有 Lr、Cr 發生串聯諧振,而 Lm在整個開關過程中都不參與串聯諧振,且此時輸出整流二極管工作在電流連續模式,整流二極管不能實現ZCS,會產生反向恢復損耗。
壹芯微科技專注于“二,三極管、MOS(場效應管)、橋堆”研發、生產與銷售,20年行業經驗,擁有先進全自動化雙軌封裝生產線、高速檢測設備等,研發技術、芯片源自臺灣,專業生產流程管理及工程團隊,保障所生產每一批物料質量穩定和更長久的使用壽命,實現高度自動化生產,大幅降低人工成本,促進更好的性價比優勢!選擇壹芯微,還可為客戶提供參數選型替代,送樣測試,技術支持,售后服務等,如需了解更多詳情或最新報價,歡迎咨詢官網在線客服!
手機號/微信:13534146615
QQ:2881579535
工廠地址:安徽省六安市金寨產業園區
深圳辦事處地址:深圳市福田區寶華大廈A1428
中山辦事處地址:中山市古鎮長安燈飾配件城C棟11卡
杭州辦事處:杭州市西湖區文三西路118號杭州電子商務大廈6層B座
電話:13534146615
企業QQ:2881579535

深圳市壹芯微科技有限公司 版權所有 | 備案號:粵ICP備2020121154號