來源:壹芯微 發布日期
2021-05-17 瀏覽:-通信電源倍流整流電路工作原理解析與設計
摘要:分析了通信電源倍流整流電路的工作原理,應用狀態空間平均法建立了倍流整流電路的頻域模型,并給出了關鍵參數的設計要點。
關鍵詞:通信電源;倍流整流電路;頻域模型
倍流整流電路首先是由A.Cook在1924年出版的《E1ements of Electrical Engineering》書中加以描述,并于20世紀30年代在電子管電路中得到使用。1987年7月Ole S.Seiersen首次在丹麥申請專利,并在1991年FIFPC會議上發表相關的學術論文。
本文分析了一種新型的倍流整流電路拓撲,如果在通信電源中得到應用,可以提高大電流輸出時副邊整流電路的效率。
1 全波整流和倍流整流
傳統上,通信電源變壓器副邊整流電路大多采用圖1(a)所示帶中心抽頭的全波整流電路,該電路拓撲結構簡單.器件總數少,二極管通態損耗小,但是變壓器副邊繞組的利用率較低。隨著開關電源技術的迅速發展,通信電源要求更大的輸出電流和更小的輸出電壓紋波。對低壓大電流輸出的變壓器而言,中心抽頭不僅給變壓器的沒計和制造帶來很大困難,而且外部引線的安裝和焊接也很難處理。
常用的倍流整流電路拓撲如圖l(b)所示,與傳統的變壓器副邊帶中心抽頭的全波整流電路相比,倍流整流電路有以下優點:減小了變壓器副邊繞組的電流有效值;變壓器利用率較高,無需中心抽頭,結構簡單;輸出電感紋波電流抵消可以減小輸出電壓紋波;雙電感也更適合于分布式功率耗散的要求。

與全波整流電路相比,倍流整流器的高頻變壓器的副邊繞組僅需一個單一繞組,不用中心抽頭;與全橋整流電路相比,倍流整流電路使用的二極管數量少一半。因此,倍流整流電路結合了全波整流電路和全橋整流電路兩者的優點。當然,倍流整流電路要多使用一個輸出濾波電感,結構略顯復雜。但此電感的工作頻率及輸送電流均為全波整流電路所用電感的一半,因此可做得較小。
2 工作原理
倍流整流電路可以被看成是由傳統的全橋整流電路演變而來。如圖2所示,將圖2(a)中全橋整流電路中的兩個下方二極管用兩個電感取代,即可獲得圖2(b),經過整理后即可得到如圖2(c)所示的倍流整流電路。

實際上倍流整流電路也可以由全波整流電路通過拓撲變換得來。在圖3(a)中,輸出電感與輸出電容和負載電阻串聯,而串聯連接的兀件可以互換位置,因此將輸出電感換到輸出負母線,可得圖3(b);將變壓器的副邊繞組看成電壓源,而把輸出電感看成電流源,可得圖3(c);由虛線框內三端口網絡的Y/△變換,可得圖3(d);再將電流源恢復成輸出電感,將電壓源恢復成變壓器的副邊繞組,可得圖3(e)所示的倍流整流電路。
倍流整流電路的原理圖如圖4所示,對中、大功率的通信電源而言,移相全橋電路是較為常見的電路拓撲形式,在原邊電路處于續流狀態時,變壓器的原邊繞組和副邊繞組都被短路。因此倍流整流電路在穩態運行時,每個開關周期有4種工作模式。為便于分析作如F假設:高頻變壓器原副邊匝比為n=N1/N2,忽略高頻變壓器原副邊漏感,所有器件均為理想器件。可得關鍵波形如圖5所示。


模式l[t0~t1] 變壓器副邊電壓VT為VS,電壓極性為正,兩個濾波電感的電流IL1和IL2極性都為正,二極管D1正向偏置導通,而D2反向截止。電感L1的電流IL1經二極管D1和輸出電容C0續流,電感L1上的電壓VL1為一Vo,極性為負,因此電流IL1線性減小,下降斜率由輸出電壓Vo和電感L1的比值決定。變壓器副邊電壓VT通過二極管D1和輸出電容Co加到電感L2上,因此電感L2上的電壓VL2為VS-Vo,極性為正,電流IL2線性增加,上升斜率由變壓器副邊電壓與輸出電壓的差VS一V0和電感L2的比值決定。變壓器的副邊電流IT等于IL2,電流I01為兩個濾波電感電流的和IL1+IL2,由于輸出大電容Co的濾波作用,輸出電流I0為I01的直流分量。變壓器的副邊電流IT等于IL2。
模式2[t1~t2] 變壓器副邊電壓VT為0,兩個濾波電感的電流IL1和IL2極性都為正,二極管D1和D2均為正向偏置導通。電感L1的電流IL1經二極管D1和輸出電容Co續流,電感L1上的電壓VL1為一Vo,極性為負,因此電流IL1線性減小,下降斜率由輸出電壓Vo和電感L1的比值決定。電感L2的電流IL2經二極管D2和輸出電容Vo續流,電感L2上的電壓VL2為一Vo,極性為負,因此電流IL2線性減小,下降斜率由輸出電壓Vo和電感L2的比值決定。變壓器的副邊電流IT等于O。
模式3[t2~t3] 變壓器副邊電壓VT為一VS,電壓極性為負,兩個濾波電感的屯流IL1和IL2極性都為正,二極管D1反向截止,而D2正向偏置導通。變壓器剮邊電壓VT通過二極管D2和輸出電容Co加到電感L1上,因此電感L1上的電壓VL1為VS—V0,極性為正,電流IL1線性增加,上升斜率由變壓器副邊電壓與輸出電壓的差VS一V0和電感L1的比值決定。電感L2的電流IL2經二極管D2和輸出電容Co續流,電感L2上的電壓VL2為一Vo,極性為負,因此電流IL2線性減小,下降斜率由輸出電壓Vo和電感L2的比值決定。變壓器的副邊電流IT等于一IL1。
模式4[t3~t4] 與模式2的工作狀態相同,變壓器副邊電壓VT為O,兩個濾波電感的電流IL1和IL2極性都為正,二極管D1和D2均為正向偏置導通。電感L1的電流IL1經二極管D1和輸出電容Co續流,電感L1上的電壓VL1為一Vo,極性為負,因此電流IL1線性減小,下降斜率由輸出電壓Vo和電感L1的比值決定。電感L2的電流IL2經二極管D2和輸出電容Co續流,電感L2上的電壓VL2為一Vo,極性為負,因此電流IL2線性減小,下降斜率由輸出電壓Vo和電感L2的比值決定。變壓器的副邊電流IT等于0。
由此可見.倍流整流電路的變壓器副邊平均輸送電流僅為輸出負載電流的一半。當一個電感在高頻變壓器副邊的電壓驅動下通過副邊輸送一半負載電流時,另一個電感也輸送著相對于輸出負載電流相同方向的另一半續流電流.且此續流電流不通過副邊繞組。濾波電感平均輸送電流僅為輸出負載電流的一半,輸出負載電流由兩個電感同時分擔,每個濾波電感的工作頻率都等于高頻變壓器的工作頻率。
3 設計要點
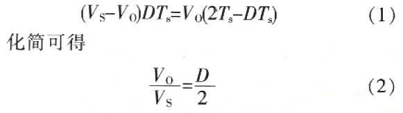
3.1 輸出電壓增益
由于電感在穩態運行時應該滿足伏秒平衡條件,即電感電壓丌關周期平均值為O,故

其中占空比D的取值范嗣為O≤D≤1。顯然,與副邊帶中心抽頭的全波整流器相比,倍流整流器的變壓器具有相同的副邊總匝數。
3.2 輸出紋波電流對消
每個輸出電感電流的峰峰值為

在占空比D的取值范圍|0,1|區間內,隨著占空比的增大,紋波電流對消因子越小。當D為0.667時,輸出電流I01的紋波分量△I01為O.5△IL1;當D為1時,兩個輸出電感的紋波電流可以實現完全對消,輸出電流I01的紋波分量△I01為0。
3.3 頻域模型
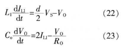
采用狀態李問平均法來推導倍流整流電路的數學模型,假設兩個輸出電感電流連續且極性都為正。考慮到動態中占空比是變動的,特用小寫d來表示。
(1)在0≤t≤dTs期間


在倍流整流電路中,兩個輸出差模電感的值通常設計成相等,即L1=L2,因此上述方程組可以簡化為

可以得到從占空比d到電感電流IL1的傳遞函數為

與全波整流電路相比,倍流整流電路的被控對象數學模型的零點相同而極點小同。如果引入等效輸出電感Leg,看成是兩個輸出電感的并聯,并且令

此時倍流整流電路被控對象數學模型的零點和極點都與全波整流電路相同。
根據七述頻域數學模型,借助Matlah軟件,可以比較容易地利用波特圖等傳統方法對控制器進行設計。
本文對通信電源中使用的倍流整流電路的工作原理進行了詳細描述,指出了倍流整流電路與全波整流電路和全橋整流電路之間的區別和聯系,對倍流整流電路的輸出電壓增益和輸出紋波電流對消給出了定量描述,應用狀態空間平均法對倍流整流電路的被控對象數學模型進行了推導,為控制器的設計提供了理論基礎。
壹芯微科技針對二三極管,MOS管作出了良好的性能測試,應用各大領域,如果您有遇到什么需要幫助解決的,可以點擊右邊的工程師,或者點擊銷售經理給您精準的報價以及產品介紹
工廠地址:安徽省六安市金寨產業園區
深圳辦事處地址:深圳市福田區寶華大廈A1428
中山辦事處地址:中山市古鎮長安燈飾配件城C棟11卡
杭州辦事處:杭州市西湖區文三西路118號杭州電子商務大廈6層B座
電話:13534146615
企業QQ:2881579535

深圳市壹芯微科技有限公司 版權所有 | 備案號:粵ICP備2020121154號