來源:壹芯微 發布日期
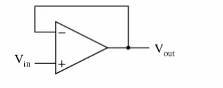
2022-12-16 瀏覽:-運放的電壓追隨電路,如圖1所示,利用虛短、虛斷,一眼看上去簡單明了,沒有什么太多內容需要注意,那你可能就大錯特錯了。理解好運放的電壓追隨電路,對于理解運放同相、反相、差分、以及各種各樣的運放的電路,都有很大的幫助。
圖1 運放電壓追隨電路
電壓追隨電路分析
如果我們連接運放的輸出到它的反相輸入端,然后在同相輸入端施加一個電壓信號,我們會發現運放的輸出電壓會很好的追隨著輸入電壓。
假設初始狀態運放的輸入、輸出電壓都為0V,然后當Vin從0V開始增加的時候,Vout也會增加,而且是往正電壓的方向增加。這是因為假設Vin突然增大,Vout還沒有響應依然是0V的時候,Ve=Vin-Vout是大于0的,所以乘上運放的開環增益,Vout=Ve*A,使得運放的輸出Vout開始往正電壓的方向增加。
當隨著Vout增加的時候,輸出電壓被反饋回到反相輸入端,然后會減小運放兩個輸入端之間的壓差,也就是Ve會減小,在同樣的開環增益的情況下,Vout自然會降低。最終的結果就是,無論輸入是多大的輸入電壓(當然是在運放的輸入電壓范圍內),運放始終會輸出一個十分接近Vin的電壓,但是這個輸出電壓Vout是剛好低于Vin的,以保證的運放兩個輸入端之間有足夠的電壓差Ve,來維持運放的輸出,也就是Vout=Ve*A。
運放電路中的負反饋
這個電路很快就會達到一個穩定狀態,輸出電壓的幅值會很準確的維持運放兩個輸入端之間的壓差,這個壓差Ve反過來會產生準確的運放輸出電壓的幅值。將運放的輸出與運放的反相輸入端連接起來,這樣的方式被稱為負反饋,這是使系統達到自穩定的關鍵。這不僅僅適用于運放,同樣適用于任何常見的動態系統。這種穩定使得運放具備工作在線性模式的能力,而不是僅僅處于飽和的狀態,全“開”或者全“關”,就像它被用于沒有任何負反饋的比較器一樣。
由于運放的增益很高,在運放反相輸入端維持的電壓幾乎與Vin相等。舉例來說,一個運放的開環增益為200 000。如果Vin等于6V,這時輸出電壓會是5.999 970 000 149 999V。這在運放的輸入端產生了足夠的電壓差Ve=6V-5.999 970 000 149 999V=29.999 85uV,這個電壓會被放大然后在輸出端產生幅值為5.999 970 000 149 999V的電壓,從而這個系統會穩定在這里。正如你所見,29.999 85uV是一個很小的電壓,因此對于實際計算來說,我們可以認為由負反饋維持的運放兩個輸入端之間的壓差Ve=0V,整個過程如圖2所示。這也就是我們熟悉的“虛短”,而由于運放的兩個輸入端之間的阻抗是很大的,自然也就有了“虛斷”。下面的電路具有穩定的1倍的閉環增益,輸出電壓會簡單的追隨輸入電壓。
圖2 負反饋的作用
使用負反饋的一個很大的優勢是,我們不用去關心運放的實際電壓增益,只要它足夠大就可以。如果運放的電壓增益不是200 0000而是250 000,這會使得運放的輸出電壓會更接近Vin一些,更小的輸入端之間的電壓差用來產生需要的輸出電壓。在圖2示意的電路中,輸出電壓同樣會等于運放反相輸入端上的輸入電壓。因此,對于電路設計工程師來說,為了實現放大電路的穩定的閉環增益,運放的開環增益沒有必要是一個精確的值,負反饋會使得系統自我調整。
使用負反饋會改善線性度、增益穩定、輸出阻抗、增益的精度,但使用負反饋同樣也會帶來一個嚴重的問題,那就是降低系統的穩定性,而對于單位增益的電壓追隨電路來說,這是一種最壞的情況,尤其是在驅動容性負載的情況下,感興趣的同學可以自己去查閱相關的資料。
關于運放電路,很多時候我們都被灌輸反相端追隨同相端,就像前面所說的那樣,難道就不能同相端追隨反相端嗎?
對于今天講的電壓追隨電路來說,只能是反相端追隨同相端。這里因為如果在反相端施加一個正的輸入電壓,將輸出連接到同相端,同樣假設輸出為0,那Ve會是一個負的電壓,乘以運放的開環增益,那輸出會是一個負的電壓,返回到運放的同相輸入端,會進一步得到一個絕對值更大的負電壓差。很快運放的輸出就會達到飽和,自然也就無法實現同相端追隨反相端。
但對于運放來說,如果在反相端施加參考電壓,配合其它電子元器件,如三極管、MOS等,使得運放的整體環路形成負反饋,同樣也能使同相端追隨反相端,而這也自然打破了我們熟悉的運放的反相端追隨同相端的規律。
運放的電壓追隨電路,”虛短”、“虛斷”是表面,而負反饋才是根。基于這個根,可以很好的幫助我們去理解千變萬化的運放電路。
壹芯微科技專注于“二,三極管、MOS(場效應管)、橋堆”研發、生產與銷售,20年行業經驗,擁有先進全自動化雙軌封裝生產線、高速檢測設備等,研發技術、芯片源自臺灣,專業生產流程管理及工程團隊,保障所生產每一批物料質量穩定和更長久的使用壽命,實現高度自動化生產,大幅降低人工成本,促進更好的性價比優勢!選擇壹芯微,還可為客戶提供參數選型替代,送樣測試,技術支持,售后服務等,如需了解更多詳情或最新報價,歡迎咨詢官網在線客服!
手機號/微信:13534146615
QQ:2881579535
工廠地址:安徽省六安市金寨產業園區
深圳辦事處地址:深圳市福田區寶華大廈A1428
中山辦事處地址:中山市古鎮長安燈飾配件城C棟11卡
杭州辦事處:杭州市西湖區文三西路118號杭州電子商務大廈6層B座
電話:13534146615
企業QQ:2881579535

深圳市壹芯微科技有限公司 版權所有 | 備案號:粵ICP備2020121154號