來源:壹芯微 發布日期
2023-04-27 瀏覽:-源跟隨器的圖文詳解
在共源放大器和源跟隨器中,輸入信號都是加在MOS管的柵極。我們也可以把輸入信號加在MOS管的源端。共漏級在源端接受輸入,在漏端產生輸出。柵極接一個直流電壓,以便建立適當的工作條件。在另一種方法中,M1管用一個恒流源來偏置,信號通過電容耦合到電路。
分析第一張圖的大信號特性。假設 Vin 從某一個大的正值減小。當Vin > =Vb-VTH 時,M1 處于關斷狀態,所以Vout =VDD。當 Vin 較小時,如果M1 處于飽和區,可以得到
隨著Vin 的減小,ID 增大,Vout 逐漸減小。
在上式滿足時,最終 M1 進入線性區。
共柵極的輸入-輸出特性曲線。圖中顯示,如果Vin 減小,M1 進入線性區(Triode Region)。如果M1 是飽和狀態,輸出電壓可以寫成
Vout 對Vin 求偏導,可得小信號增益:
假設:
可以得到:
這增益是正值。
共柵極的輸入輸出阻抗也是要關心的。
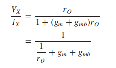
從小信號模型分析,V1 =-VX,流過ro 的電流等于IX+gmV1+gmbV1=IX-(gm+gmb)VX,把ro 和RD上的壓降加起來可以得到

這個結果是源跟隨器在源端所看到的阻抗。
壹芯微科技專注于“二,三極管、MOS(場效應管)、橋堆”研發、生產與銷售,20年行業經驗,擁有先進全自動化雙軌封裝生產線、高速檢測設備等,研發技術、芯片源自臺灣,專業生產流程管理及工程團隊,保障所生產每一批物料質量穩定和更長久的使用壽命,實現高度自動化生產,大幅降低人工成本,促進更好的性價比優勢!選擇壹芯微,還可為客戶提供參數選型替代,送樣測試,技術支持,售后服務等,如需了解更多詳情或最新報價,歡迎咨詢官網在線客服!
手機號/微信:13534146615
QQ:2881579535
工廠地址:安徽省六安市金寨產業園區
深圳辦事處地址:深圳市福田區寶華大廈A1428
中山辦事處地址:中山市古鎮長安燈飾配件城C棟11卡
杭州辦事處:杭州市西湖區文三西路118號杭州電子商務大廈6層B座
電話:13534146615
企業QQ:2881579535

深圳市壹芯微科技有限公司 版權所有 | 備案號:粵ICP備2020121154號