來源:壹芯微 發布日期
2023-03-10 瀏覽:-運算放大器的同向放大原理
首先,我們先溫習一下運放的理想特性:
在多數的常規設計中,我們使用運放的理想模型,忽略其內部結構。 把它當作一個“具有放大作用的元件”,接上電源,便可以讓它發揮放大的作用。 所謂理想的運放,它的輸入阻抗無窮大,輸出阻抗為零。
理想的運放電路分析有兩大重要原則貫穿始終,即“虛短”與“虛斷”。 “虛短”的意思是正端和負端接近短路,即 V+ =V-,看起來像“短路”; “虛斷”的意思是流入正端及負端的電流接近于零,即 I+ = I- = 0,看起來像斷路(因為輸入阻抗無窮大)。
下面分析運放電路的時候,需要用到上面的理想運放特性。
下面這張圖,是將輸出電壓引到運放的負輸入端,也就是引入了負反饋電路。 我們一起分析一下,他的輸入和輸出電壓的關系。
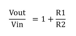
首先,根據運放的 “虛短” 特性,其 V- = V+ = Vin。
運放在工作的時候,會快速自動調整Vout,使 Vout 經過 R1 和 R2 電阻分壓后的電壓,也就是 V- 的電壓等于 V+,根據串聯電阻分壓計算公式得出:
由于 Vin = V- , 所以得出:
想要求出運放的放大倍數,就需要計算一下 Vout / Vin :
這個就是運算放大器同向放大倍數的計算公式。
運放同向放大電路應用
首先,了解一下 T12 烙鐵頭的結構,他的熱敏電偶和加熱絲,是串聯的,也就是 T12 烙鐵頭,只有兩根線,加熱和測溫,不能同時進行。
下面,我們就截取白光 T12 焊臺烙鐵頭溫度信號放大部分電路圖,一起分析一下。
根據運放同向放大倍數計算公式,可以計算出,此處溫度信號放大倍數:
經過放大之后的電壓值,通過 MCU 進行采集,就可以進行 T12 烙鐵頭溫度的閉環控制了。 其實,白光 T12 焊臺的工作原理,就是這樣的。
Tips: 想要進行 T12 烙鐵頭溫度的精確控制,就需要有實際溫度值和烙鐵頭熱電偶電壓的對應曲線,這個需要有設備進行測試。
壹芯微科技專注于“二,三極管、MOS(場效應管)、橋堆”研發、生產與銷售,20年行業經驗,擁有先進全自動化雙軌封裝生產線、高速檢測設備等,研發技術、芯片源自臺灣,專業生產流程管理及工程團隊,保障所生產每一批物料質量穩定和更長久的使用壽命,實現高度自動化生產,大幅降低人工成本,促進更好的性價比優勢!選擇壹芯微,還可為客戶提供參數選型替代,送樣測試,技術支持,售后服務等,如需了解更多詳情或最新報價,歡迎咨詢官網在線客服!
手機號/微信:13534146615
QQ:2881579535
工廠地址:安徽省六安市金寨產業園區
深圳辦事處地址:深圳市福田區寶華大廈A1428
中山辦事處地址:中山市古鎮長安燈飾配件城C棟11卡
杭州辦事處:杭州市西湖區文三西路118號杭州電子商務大廈6層B座
電話:13534146615
企業QQ:2881579535

深圳市壹芯微科技有限公司 版權所有 | 備案號:粵ICP備2020121154號