來源:壹芯微 發布日期
2022-01-12 瀏覽:-一種微帶雙模可調濾波器的設計介紹
如今在無線通信系統,尤其是衛星通信和移動通信的方面,對通道的選擇性要求越來越高,電子元器件也要求小型化、微型化,因此高選擇性的濾波器成為了研究的熱點。而微帶雙模濾波器憑借其結構簡單、尺寸小、重量輕、成本低、易于集成,且插入損耗低,易產生傳輸零點等一系列優點,在衛星通信和無線通信系統中得到了廣泛的應用;并隨著現代無線通信事業的進一步友展,為了更高效地利用有限的頻譜資源,擴頻﹑調頻、動態頻率分配等技術得到廣泛的應用,可調濾波器作為這些技術的關鍵器件也越來越受到重視。文中在微帶開環雙模諧振器的基礎上設計加工了一款新型可調濾波器。
1.雙模諧振器特性
文中的可調濾波器是在開環雙模諧振器的基礎上設計的,下面以形式最簡單的雙模諧振器—方環雙模諧振器為例,對其原理進行分析,方環雙模諧振器的基本拓撲結構如圖1所示。方環邊長近似為四分之一波導波長,通過改變對稱處加載微擾枝節的大小和形狀可以實現不同類型的頻率響應。由圖1可知,方環雙模諧振器關于圖中的虛線A-A'對稱,因此可以應用經典的奇偶模方法對其諧振頻率進行分析,根據雙模諧振器模型,這種結構具有兩種諧振模式,即奇模諧振模式與偶模諧振模式。

圖1微帶雙模諧振器示意圖

圖2奇模和偶模饋電等效電路示意圖
如圖1中所示,奇模情況時,分別通過端口1和端口2饋入等幅反相的信號,對稱線A-A'處的電壓值為零,可等效為理想的電壁(虛擬短路),加載的微擾枝節相當于被短路掉,相應的等效電路如圖2(a)所示。當忽略諧振的不連續性時,奇模激勵的輸入導納Yin,o可表示為式(1),由其諧振條件Yin,o可得式(2):


由式(2)可知,奇模諧振頻率只與方環各個部分的電長度θ,θ',θ"有關,與加載的枝節的長度無關,改變方環諧振器的邊長相應的奇模諧振頻率也會改變。
偶模情況時,分別通過端口1和端口⒉饋入等幅同相的信號,對稱線A-A'處電流值為零,可等效為理想磁壁(虛擬開路),相應的等效電路如圖2(b)所示。與奇模激勵時情況類似,偶模激勵時的輸入導納Yin,o,可表示為式(3)以及式(4):


根據偶模諧振條件Im(Yin,o)=0,可得式(5):

由式(5)可知,偶模諧振頻率與圖1中方環的邊長L及加載枝節的長度Р都有關系,而上文中提到奇模諧振頻率只與方環諧振器的邊長L有關,所以通過調節枝節長度P,可以單獨改變偶模諧振點頻率。圖3中給出了奇模和偶模諧振頻率隨微擾加載枝節的長度Р變化的曲線(L=16.2mm)。

圖3奇偶模頻率變化曲線圖
由圖中曲線可知,隨著微擾枝節的長度P的增長,偶模諧振頻率降低。根據上述的奇偶模諧振頻率與方環邊長L以及微擾枝節長度P的關系,顯然可以通過在方環對應的兩邊及微擾枝節的終端上加載電容器實現方環雙模諧振器的頻率調節。
2.可調濾波器設計
設計通過調節變容二極管偏置電壓實現頻率可調的雙模濾波器,需要分別設計固定頻率的濾波器以及偏置電路。根據上述理論分析,在對比多種雙模諧振器的優缺點之后,文中的最終選擇如圖4所示的開環形式的雙模諧振器設計實現可調濾波器。

圖4HFSS雙模諧振器參數示意圖
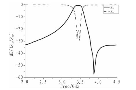
優化之后的諧振器的物理參數值如表1所示,濾波器響應曲線如圖5所示,其中心頻率為3.45GHz,濾波帶寬約為180MHz,在頻率的高端有一個零點,通帶內的傳輸損耗小于1.5dB,插入損耗大于23dB,帶外抑制>20dB(@3.5GH+0.5GHz),符合設計的要求。文中的可調濾波器是設計在20mm*30mm的厚度d=0.508mm,介電常數εr=3.66,損耗角正切tano=0.004的RogersRO4350介質基板上的,其HFSS中的版圖如圖6所示。

圖5濾波器響應曲線

圖6HFSS中可調濾波器示意版圖
為了保證加工的準確性,在仿真過程中對可調濾波器進行容差分析,將分析結果作為優化設計的參考,使最終加工獲得的濾波器在誤差范圍內的濾波響應可被接受。首先確定分析的對象,即可能會對濾波響應造成較大影響的物理參量以及加工時易出現誤差的因素。在此主要對接地孔在橫向和縱向兩個方向上的偏移以及輸入輸出耦合縫隙寬度進行容差分析。
圖7(a)(b)中的容差分析結果顯示,在加工誤差范圍內接地孔位置的偏移的微小變化對濾波器的響應幾乎沒有影響。另外,從圖7(c)中的結果可以看出耦合縫隙寬度的只會影響濾波器的帶寬,對其中心頻率沒有影響。還應該注意到,縫隙寬度偏小時會使回波損耗惡化,但其影響也可以接受。

圖7可調濾波器容差分析圖
3.仿真結果分析
ADS中仿真得到的頻率響應曲線如圖8所示,不同中心頻率及濾波帶寬對應的變容二極管的偏置電壓組合如表2所示。仿真中濾波器可以實現從2.7~2.9GHz的中心頻率可調,插入損耗等參數也都實現了設計指標的要求,隨著可調濾波器中心頻率變大,其3dB帶寬及相對帶寬都變寬,插入損耗變小。

圖8濾波器可調范圍示意圖
表2不同中心頻率對應的帶寬及偏置電壓表
結論
以上就是一種微帶雙模可調濾波器的設計介紹了。本文實現了2.7GHz-2.9GHz中心頻率可調的微帶雙模濾波器,對雙模諧振器的諧振原理進行了分析,還對設計的可調濾波器的敏感參數進行了容差分析。基于該設計可以結合LTCC等技術實現可調濾波器的小型化,在無線通信系統中有廣闊的應用前景。
〔壹芯微〕專業研發生產二極管,三極管,MOS管,橋堆,專注領域,專業品質,研發技術-芯片源自中國臺灣,擁有全工序封裝生產線,配備高標準可靠性實驗室,引入國外先進測試儀器,檢測設備,以及專業團隊豐富的生產經驗,保障每個器件的參數和性能的充分穩定性,同時實現了高度全自動化生產,大幅度降低人工成本,并與中國臺灣芯片制造商達成合作,產品低于同行10%,壹芯微還提供有選型替代,技術支持,售后FAE,歡迎點擊頁面右側"在線客服" 咨詢了解產品詳情和最新報價,提供免費樣品送予測試
手機號/微信:13534146615
QQ:2881579535
工廠地址:安徽省六安市金寨產業園區
深圳辦事處地址:深圳市福田區寶華大廈A1428
中山辦事處地址:中山市古鎮長安燈飾配件城C棟11卡
杭州辦事處:杭州市西湖區文三西路118號杭州電子商務大廈6層B座
電話:13534146615
企業QQ:2881579535

深圳市壹芯微科技有限公司 版權所有 | 備案號:粵ICP備2020121154號