來源:壹芯微 發布日期
2023-02-18 瀏覽:-電容的伏安關系
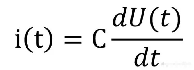
由于電荷的公式如下圖
通過變換得到電流,電壓,電容之間的數學關系。
如上圖微分形式的伏安關系揭示的電容特性:
(1)電容元件有隔斷直流的作用。 電壓不變(直流電)流過電容的電流就為零。
(2)電容兩端電壓U(t)必定是時間t的連續函數,從而可以知道電容兩端的電壓不能發生突變。
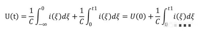
對電容的微分公式進行變換,
讓后進行積分可以得到電容的積分形式。
上圖式子中U(0)是初始電壓。
電容的實際電路模型
隨著頻率的不斷增加,在高頻信號下,很多器件失去了原有的特性,電容呈現的特性就不再是電容的特性,因此在實際電路中我們要知道電容的實際電路模型的樣子。
實際電容器模型
C:電容器的標稱值。
ESR:等效串聯電阻。 理想值為0 ,陶瓷電容器具有最佳的ESR(通常為毫歐級)。 鉭電解電容器的ESR為數百毫歐,而鋁電解電容器的ESR為歐姆級。
ESL:等效串聯電感。 理想值為0,ESL范圍在100pH至10nH之間。
Rp:并聯泄露電阻(或稱為絕緣電阻)。 理想值為無窮大,其范圍可以從某些電解電容器的數十兆歐,至陶瓷電容器的幾十千兆歐。
絕緣電阻很大,把它忽略后可以看作是一個RLC串聯諧振電路,當頻率達到諧振頻率時阻抗最小。
當XLXC呈感性,換句話說頻率高到一定時,電容將成感性。 自諧振頻率點是區分電容是容性還是感性的分界點,高于諧振點時,“電容不再是電容”,因此退耦作用將下降。 實際電容器都有一定的工作頻率范圍,在工作頻率范圍內,電容才具有很好的退耦作用。 ESL是電容在高于自諧振頻率點之后退耦功能被消弱的根本原因。 阻抗與頻率之間的關系如下圖。
10uF 電容器的阻抗與頻率之間的關系
壹芯微科技專注于“二,三極管、MOS(場效應管)、橋堆”研發、生產與銷售,20年行業經驗,擁有先進全自動化雙軌封裝生產線、高速檢測設備等,研發技術、芯片源自臺灣,專業生產流程管理及工程團隊,保障所生產每一批物料質量穩定和更長久的使用壽命,實現高度自動化生產,大幅降低人工成本,促進更好的性價比優勢!選擇壹芯微,還可為客戶提供參數選型替代,送樣測試,技術支持,售后服務等,如需了解更多詳情或最新報價,歡迎咨詢官網在線客服!
手機號/微信:13534146615
QQ:2881579535
工廠地址:安徽省六安市金寨產業園區
深圳辦事處地址:深圳市福田區寶華大廈A1428
中山辦事處地址:中山市古鎮長安燈飾配件城C棟11卡
杭州辦事處:杭州市西湖區文三西路118號杭州電子商務大廈6層B座
電話:13534146615
企業QQ:2881579535

深圳市壹芯微科技有限公司 版權所有 | 備案號:粵ICP備2020121154號