來源:壹芯微 發布日期
2023-04-20 瀏覽:-共集電極放大電路的負載能力介紹
帶負載能力指,在外接負載后,輸出電壓或電流的大小不受影響的能力。例如:功放電路外接一個負載,假設功放此時提供的電壓是5v,最大的輸出電流是1A,我們測量負載兩端的電壓,看負載兩端的電壓是不是穩定在5v,如果是,則說明這個功放電路可以驅動這個負載工作,如果不能穩定在5v,則說明功放電路帶不動這個負載!
本文以共集電極放大電路為例:


從上圖可以看到,共集電極放大電路的輸出電阻比較小。
在輸出電路加上負載RL以后,要判斷這個電路的負載能力強不強,只要判斷這個負載會不會給原來的電路帶來比較大的變化。
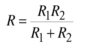
我們知道,兩個電阻并聯以后:
我們可以認為,R1是原電路的輸出電阻Ro,R2是負載RL,因為R0比較小,所以當負載RL比較大的時候,并聯后的總電阻還是接近于R0;只有當RL比較小的時候,才能對并聯后的總電阻產生較大的影響。因此,我們認為,共集電極放大電路具有外接較小的負載電阻RL的能力,也就是負載能力較強。
壹芯微科技專注于“二,三極管、MOS(場效應管)、橋堆”研發、生產與銷售,20年行業經驗,擁有先進全自動化雙軌封裝生產線、高速檢測設備等,研發技術、芯片源自臺灣,專業生產流程管理及工程團隊,保障所生產每一批物料質量穩定和更長久的使用壽命,實現高度自動化生產,大幅降低人工成本,促進更好的性價比優勢!選擇壹芯微,還可為客戶提供參數選型替代,送樣測試,技術支持,售后服務等,如需了解更多詳情或最新報價,歡迎咨詢官網在線客服!
手機號/微信:13534146615
QQ:2881579535
工廠地址:安徽省六安市金寨產業園區
深圳辦事處地址:深圳市福田區寶華大廈A1428
中山辦事處地址:中山市古鎮長安燈飾配件城C棟11卡
杭州辦事處:杭州市西湖區文三西路118號杭州電子商務大廈6層B座
電話:13534146615
企業QQ:2881579535

深圳市壹芯微科技有限公司 版權所有 | 備案號:粵ICP備2020121154號